FOMC Service Report

16S rRNA Gene V1V3 Amplicon Sequencing

Version V1.52

Version History

The Forsyth Institute, Cambridge, MA, USA
November 17, 2025

Project ID: FOMC20250829


";

I. Project Summary

Project FOMC20250829 services include NGS sequencing of the V1V3 region of the 16S rRNA gene amplicons from the samples. First and foremost, please download this report, as well as the sequence raw data from the download links provided below. These links will expire after 60 days. We cannot guarantee the availability of your data after 60 days.

Full Bioinformatics analysis service was requested. We provide many analyses, starting from the raw sequence quality and noise filtering, pair reads merging, as well as chimera filtering for the sequences, using the DADA2 denosing algorithm and pipeline.

We also provide many downstream analyses such as taxonomy assignment, alpha and beta diversity analyses, and differential abundance analysis.

For taxonomy assignment, most informative would be the taxonomy barplots. We provide an interactive barplots to show the relative abundance of microbes at different taxonomy levels (from Phylum to species) that you can choose.

If you specify which groups of samples you want to compare for differential abundance, we provide both ANCOM and LEfSe differential abundance analysis.

 

II. Workflow Checklist

1.Sample Received
2.Sample Quality Evaluated
3.Sample Prepared for Sequencing
4.Next-Gen Sequencing
5.Sequence Quality Check
6.Absolute Abundance
7.Report and Raw Sequence Data Available for Download
8.Bioinformatics Analysis - Reads Processing (DADA2 Quality Trimming, Denoising, Paired Reads Merging)
9.Bioinformatics Analysis - Reads Taxonomy Assignment
10.Bioinformatics Analysis - Alpha Diversity Analysis
11.Bioinformatics Analysis - Beta Diversity Analysis
12.Bioinformatics Analysis - Differential Abundance Analysis
13.Bioinformatics Analysis - Heatmap Profile
14.Bioinformatics Analysis - Network Association
 

III. NGS Sequencing

The samples were processed and analyzed with the ZymoBIOMICS® Service: Targeted Metagenomic Sequencing (Zymo Research, Irvine, CA).

DNA Extraction: If DNA extraction was performed, the following DNA extraction kit was used according to the manufacturer’s instructions:

ZymoBIOMICS®-96 MagBead DNA Kit (Zymo Research, Irvine, CA)
N/A (DNA Extraction Not Performed)
Elution Volume: 50µL
Additional Notes: NA

Targeted Library Preparation: The DNA samples were prepared for targeted sequencing with the Quick-16S™ NGS Library Prep Kit (Zymo Research, Irvine, CA). These primers were custom designed by Zymo Research to provide the best coverage of the 16S gene while maintaining high sensitivity. The primer sets used in this project are marked below:

Quick-16S™ Primer Set V1-V2 (Zymo Research, Irvine, CA)
Quick-16S™ Primer Set V1-V3 (Zymo Research, Irvine, CA)
Quick-16S™ Primer Set V3-V4 (Zymo Research, Irvine, CA)
Quick-16S™ Primer Set V4 (Zymo Research, Irvine, CA)
Quick-16S™ Primer Set V6-V8 (Zymo Research, Irvine, CA)
Additional Notes: NA

The sequencing library was prepared using an innovative library preparation process in which PCR reactions were performed in real-time PCR machines to control cycles and therefore limit PCR chimera formation. The final PCR products were quantified with qPCR fluorescence readings and pooled together based on equal molarity. The final pooled library was cleaned up with the Select-a-Size DNA Clean & Concentrator™ (Zymo Research, Irvine, CA), then quantified with TapeStation® (Agilent Technologies, Santa Clara, CA) and Qubit® (Thermo Fisher Scientific, Waltham, WA).

Control Samples: The ZymoBIOMICS® Microbial Community Standard (Zymo Research, Irvine, CA) was used as a positive control for each DNA extraction, if performed. The ZymoBIOMICS® Microbial Community DNA Standard (Zymo Research, Irvine, CA) was used as a positive control for each targeted library preparation. Negative controls (i.e. blank extraction control, blank library preparation control) were included to assess the level of bioburden carried by the wet-lab process.

Sequencing: The final library was sequenced on Illumina® NextSeq 2000™ with a p1 (Illumina, Sand Diego, CA) reagent kit (600 cycles). The sequencing was performed with 25% PhiX spike-in.

Absolute Abundance Quantification*: A quantitative real-time PCR was set up with a standard curve. The standard curve was made with plasmid DNA containing one copy of the 16S gene and one copy of the fungal ITS2 region prepared in 10-fold serial dilutions. The primers used were the same as those used in Targeted Library Preparation. The equation generated by the plasmid DNA standard curve was used to calculate the number of gene copies in the reaction for each sample. The PCR input volume (2 µl) was used to calculate the number of gene copies per microliter in each DNA sample.
The number of genome copies per microliter DNA sample was calculated by dividing the gene copy number by an assumed number of gene copies per genome. The value used for 16S copies per genome is 4. The value used for ITS copies per genome is 200. The amount of DNA per microliter DNA sample was calculated using an assumed genome size of 4.64 x 106 bp, the genome size of Escherichia coli, for 16S samples, or an assumed genome size of 1.20 x 107 bp, the genome size of Saccharomyces cerevisiae, for ITS samples. This calculation is shown below:

Calculated Total DNA = Calculated Total Genome Copies × Assumed Genome Size (4.64 × 106 bp) ×
Average Molecular Weight of a DNA bp (660 g/mole/bp) ÷ Avogadro’s Number (6.022 x 1023/mole)


* Absolute Abundance Quantification is only available for 16S and ITS analyses.

The absolute abundance standard curve data can be viewed in Excel here:

The absolute abundance standard curve is shown below:

Absolute Abundance Standard Curve

 

IV. Complete Report Download

The complete report of your project, including all links in this report, can be downloaded by clicking the link provided below. The downloaded file is a compressed ZIP file and once unzipped, open the file “REPORT.html” (may only shown as "REPORT" in your computer) by double clicking it. Your default web browser will open it and you will see the exact content of this report.

Please download and save the file to your computer storage device. The download link will expire after 60 days upon your receiving of this report.

Complete report download link:

To view the report, please follow the following steps:

1.Download the .zip file from the report link above.
2.Extract all the contents of the downloaded .zip file to your desktop.
3.Open the extracted folder and find the "REPORT.html" (may shown as only "REPORT").
4.Open (double-clicking) the REPORT.html file. Your default browser will open the top age of the complete report. Within the report, there are links to view all the analyses performed for the project.

 

V. Raw Sequence Data Download

The raw NGS sequence data is available for download with the link provided below. The data is a compressed ZIP file and can be unzipped to individual sequence files. Since this is a Pac-Bio full-length (V1V9) 16S rRNA amplicon sequencing, raw sequences are available for download in a single compressed zip file in the download link below. After unzipping, you will find individual sequence files for each of your samples with the file extension “*.fastq.gz”. The files are in FASTQ format and are compressed. FASTQ format is a text-based data format for storing both a biological sequence and its corresponding quality scores. Most sequence analysis software will be able to open them. The Sample IDs associated with the fastq files are listed in the table below:

Sample IDOriginal Sample IDRead 1 File NameRead 2 File Name
F20250829.S01original sample ID herezr20250829_01V1V3_R1.fastq.gzzr20250829_01V1V3_R2.fastq.gz
F20250829.S02original sample ID herezr20250829_02V1V3_R1.fastq.gzzr20250829_02V1V3_R2.fastq.gz
F20250829.S03original sample ID herezr20250829_03V1V3_R1.fastq.gzzr20250829_03V1V3_R2.fastq.gz
F20250829.S04original sample ID herezr20250829_04V1V3_R1.fastq.gzzr20250829_04V1V3_R2.fastq.gz
F20250829.S05original sample ID herezr20250829_05V1V3_R1.fastq.gzzr20250829_05V1V3_R2.fastq.gz
F20250829.S06original sample ID herezr20250829_06V1V3_R1.fastq.gzzr20250829_06V1V3_R2.fastq.gz
F20250829.S07original sample ID herezr20250829_07V1V3_R1.fastq.gzzr20250829_07V1V3_R2.fastq.gz
F20250829.S08original sample ID herezr20250829_08V1V3_R1.fastq.gzzr20250829_08V1V3_R2.fastq.gz
F20250829.S09original sample ID herezr20250829_09V1V3_R1.fastq.gzzr20250829_09V1V3_R2.fastq.gz
F20250829.S10original sample ID herezr20250829_10V1V3_R1.fastq.gzzr20250829_10V1V3_R2.fastq.gz
F20250829.S11original sample ID herezr20250829_11V1V3_R1.fastq.gzzr20250829_11V1V3_R2.fastq.gz
F20250829.S12original sample ID herezr20250829_12V1V3_R1.fastq.gzzr20250829_12V1V3_R2.fastq.gz
F20250829.S13original sample ID herezr20250829_13V1V3_R1.fastq.gzzr20250829_13V1V3_R2.fastq.gz
F20250829.S14original sample ID herezr20250829_14V1V3_R1.fastq.gzzr20250829_14V1V3_R2.fastq.gz
F20250829.S15original sample ID herezr20250829_15V1V3_R1.fastq.gzzr20250829_15V1V3_R2.fastq.gz
F20250829.S16original sample ID herezr20250829_16V1V3_R1.fastq.gzzr20250829_16V1V3_R2.fastq.gz
F20250829.S17original sample ID herezr20250829_17V1V3_R1.fastq.gzzr20250829_17V1V3_R2.fastq.gz
F20250829.S18original sample ID herezr20250829_18V1V3_R1.fastq.gzzr20250829_18V1V3_R2.fastq.gz
F20250829.S19original sample ID herezr20250829_19V1V3_R1.fastq.gzzr20250829_19V1V3_R2.fastq.gz
F20250829.S20original sample ID herezr20250829_20V1V3_R1.fastq.gzzr20250829_20V1V3_R2.fastq.gz
F20250829.S21original sample ID herezr20250829_21V1V3_R1.fastq.gzzr20250829_21V1V3_R2.fastq.gz
F20250829.S22original sample ID herezr20250829_22V1V3_R1.fastq.gzzr20250829_22V1V3_R2.fastq.gz
F20250829.S23original sample ID herezr20250829_23V1V3_R1.fastq.gzzr20250829_23V1V3_R2.fastq.gz
F20250829.S24original sample ID herezr20250829_24V1V3_R1.fastq.gzzr20250829_24V1V3_R2.fastq.gz
F20250829.S25original sample ID herezr20250829_25V1V3_R1.fastq.gzzr20250829_25V1V3_R2.fastq.gz
F20250829.S26original sample ID herezr20250829_26V1V3_R1.fastq.gzzr20250829_26V1V3_R2.fastq.gz
F20250829.S27original sample ID herezr20250829_27V1V3_R1.fastq.gzzr20250829_27V1V3_R2.fastq.gz
F20250829.S28original sample ID herezr20250829_28V1V3_R1.fastq.gzzr20250829_28V1V3_R2.fastq.gz
F20250829.S29original sample ID herezr20250829_29V1V3_R1.fastq.gzzr20250829_29V1V3_R2.fastq.gz
F20250829.S30original sample ID herezr20250829_30V1V3_R1.fastq.gzzr20250829_30V1V3_R2.fastq.gz
F20250829.S31original sample ID herezr20250829_31V1V3_R1.fastq.gzzr20250829_31V1V3_R2.fastq.gz
F20250829.S32original sample ID herezr20250829_32V1V3_R1.fastq.gzzr20250829_32V1V3_R2.fastq.gz
F20250829.S33original sample ID herezr20250829_33V1V3_R1.fastq.gzzr20250829_33V1V3_R2.fastq.gz
F20250829.S34original sample ID herezr20250829_34V1V3_R1.fastq.gzzr20250829_34V1V3_R2.fastq.gz
F20250829.S35original sample ID herezr20250829_35V1V3_R1.fastq.gzzr20250829_35V1V3_R2.fastq.gz
F20250829.S36original sample ID herezr20250829_36V1V3_R1.fastq.gzzr20250829_36V1V3_R2.fastq.gz
F20250829.S37original sample ID herezr20250829_37V1V3_R1.fastq.gzzr20250829_37V1V3_R2.fastq.gz
F20250829.S38original sample ID herezr20250829_38V1V3_R1.fastq.gzzr20250829_38V1V3_R2.fastq.gz
F20250829.S39original sample ID herezr20250829_39V1V3_R1.fastq.gzzr20250829_39V1V3_R2.fastq.gz
F20250829.S40original sample ID herezr20250829_40V1V3_R1.fastq.gzzr20250829_40V1V3_R2.fastq.gz
F20250829.S41original sample ID herezr20250829_41V1V3_R1.fastq.gzzr20250829_41V1V3_R2.fastq.gz
F20250829.S42original sample ID herezr20250829_42V1V3_R1.fastq.gzzr20250829_42V1V3_R2.fastq.gz
F20250829.S43original sample ID herezr20250829_43V1V3_R1.fastq.gzzr20250829_43V1V3_R2.fastq.gz
F20250829.S44original sample ID herezr20250829_44V1V3_R1.fastq.gzzr20250829_44V1V3_R2.fastq.gz
F20250829.S45original sample ID herezr20250829_45V1V3_R1.fastq.gzzr20250829_45V1V3_R2.fastq.gz
F20250829.S46original sample ID herezr20250829_46V1V3_R1.fastq.gzzr20250829_46V1V3_R2.fastq.gz
F20250829.S47original sample ID herezr20250829_47V1V3_R1.fastq.gzzr20250829_47V1V3_R2.fastq.gz
F20250829.S48original sample ID herezr20250829_48V1V3_R1.fastq.gzzr20250829_48V1V3_R2.fastq.gz
F20250829.S49original sample ID herezr20250829_49V1V3_R1.fastq.gzzr20250829_49V1V3_R2.fastq.gz
F20250829.S50original sample ID herezr20250829_50V1V3_R1.fastq.gzzr20250829_50V1V3_R2.fastq.gz
F20250829.S51original sample ID herezr20250829_51V1V3_R1.fastq.gzzr20250829_51V1V3_R2.fastq.gz
F20250829.S52original sample ID herezr20250829_52V1V3_R1.fastq.gzzr20250829_52V1V3_R2.fastq.gz
F20250829.S53original sample ID herezr20250829_53V1V3_R1.fastq.gzzr20250829_53V1V3_R2.fastq.gz
F20250829.S54original sample ID herezr20250829_54V1V3_R1.fastq.gzzr20250829_54V1V3_R2.fastq.gz
F20250829.S55original sample ID herezr20250829_55V1V3_R1.fastq.gzzr20250829_55V1V3_R2.fastq.gz
F20250829.S56original sample ID herezr20250829_56V1V3_R1.fastq.gzzr20250829_56V1V3_R2.fastq.gz
F20250829.S57original sample ID herezr20250829_57V1V3_R1.fastq.gzzr20250829_57V1V3_R2.fastq.gz
F20250829.S58original sample ID herezr20250829_58V1V3_R1.fastq.gzzr20250829_58V1V3_R2.fastq.gz
F20250829.S59original sample ID herezr20250829_59V1V3_R1.fastq.gzzr20250829_59V1V3_R2.fastq.gz
F20250829.S60original sample ID herezr20250829_60V1V3_R1.fastq.gzzr20250829_60V1V3_R2.fastq.gz
F20250829.S61original sample ID herezr20250829_61V1V3_R1.fastq.gzzr20250829_61V1V3_R2.fastq.gz
F20250829.S62original sample ID herezr20250829_62V1V3_R1.fastq.gzzr20250829_62V1V3_R2.fastq.gz
F20250829.S63original sample ID herezr20250829_63V1V3_R1.fastq.gzzr20250829_63V1V3_R2.fastq.gz

Please download and save the file to your computer storage device. The download link will expire after 60 days upon your receiving of this report.

Raw sequence data download link:

 

VI. Analysis - DADA2 Read Processing

What is DADA2?

DADA2 is a software package that models and corrects Illumina-sequenced amplicon errors [1]. DADA2 infers sample sequences exactly, without coarse-graining into OTUs, and resolves differences of as little as one nucleotide. DADA2 identified more real variants and output fewer spurious sequences than other methods.

DADA2’s advantage is that it uses more of the data. The DADA2 error model incorporates quality information, which is ignored by all other methods after filtering. The DADA2 error model incorporates quantitative abundances, whereas most other methods use abundance ranks if they use abundance at all. The DADA2 error model identifies the differences between sequences, eg. A->C, whereas other methods merely count the mismatches. DADA2 can parameterize its error model from the data itself, rather than relying on previous datasets that may or may not reflect the PCR and sequencing protocols used in your study.

DADA2 Software Package is available as an R package at : https://benjjneb.github.io/dada2/index.html

References

  1. Callahan BJ, McMurdie PJ, Rosen MJ, Han AW, Johnson AJ, Holmes SP. DADA2: High-resolution sample inference from Illumina amplicon data. Nat Methods. 2016 Jul;13(7):581-3. doi: 10.1038/nmeth.3869. Epub 2016 May 23. PMID: 27214047; PMCID: PMC4927377.

Analysis Procedures:

DADA2 pipeline includes several tools for read quality control, including quality filtering, trimming, denoising, pair merging and chimera filtering. Below are the major processing steps of DADA2:

Step 1. Read trimming based on sequence quality The quality of NGS Illumina sequences often decreases toward the end of the reads. DADA2 allows to trim off the poor quality read ends in order to improve the error model building and pair mergicing performance.

Step 2. Learn the Error Rates The DADA2 algorithm makes use of a parametric error model (err) and every amplicon dataset has a different set of error rates. The learnErrors method learns this error model from the data, by alternating estimation of the error rates and inference of sample composition until they converge on a jointly consistent solution. As in many machine-learning problems, the algorithm must begin with an initial guess, for which the maximum possible error rates in this data are used (the error rates if only the most abundant sequence is correct and all the rest are errors).

Step 3. Infer amplicon sequence variants (ASVs) based on the error model built in previous step. This step is also called sequence "denoising". The outcome of this step is a list of ASVs that are the equivalent of oligonucleotides.

Step 4. Merge paired reads. If the sequencing products are read pairs, DADA2 will merge the R1 and R2 ASVs into single sequences. Merging is performed by aligning the denoised forward reads with the reverse-complement of the corresponding denoised reverse reads, and then constructing the merged “contig” sequences. By default, merged sequences are only output if the forward and reverse reads overlap by at least 12 bases, and are identical to each other in the overlap region (but these conditions can be changed via function arguments).

Step 5. Remove chimera. The core dada method corrects substitution and indel errors, but chimeras remain. Fortunately, the accuracy of sequence variants after denoising makes identifying chimeric ASVs simpler than when dealing with fuzzy OTUs. Chimeric sequences are identified if they can be exactly reconstructed by combining a left-segment and a right-segment from two more abundant “parent” sequences. The frequency of chimeric sequences varies substantially from dataset to dataset, and depends on on factors including experimental procedures and sample complexity.

Results

1. Read Quality Plots NGS sequence analaysis starts with visualizing the quality of the sequencing. Below are the quality plots of the first sample for the R1 and R2 reads separately. In gray-scale is a heat map of the frequency of each quality score at each base position. The mean quality score at each position is shown by the green line, and the quartiles of the quality score distribution by the orange lines. The forward reads are usually of better quality. It is a common practice to trim the last few nucleotides to avoid less well-controlled errors that can arise there. The trimming affects the downstream steps including error model building, merging and chimera calling. FOMC uses an empirical approach to test many combinations of different trim length in order to achieve best final amplicon sequence variants (ASVs), see the next section “Optimal trim length for ASVs”.

Quality plots for all samples:

2. Optimal trim length for ASVs The final number of merged and chimera-filtered ASVs depends on the quality filtering (hence trimming) in the very beginning of the DADA2 pipeline. In order to achieve highest number of ASVs, an empirical approach was used -

  1. Create a random subset of each sample consisting of 5,000 R1 and 5,000 R2 (to reduce computation time)
  2. Trim 10 bases at a time from the ends of both R1 and R2 up to 50 bases
  3. For each combination of trimmed length (e.g., 300x300, 300x290, 290x290 etc), the trimmed reads are subject to the entire DADA2 pipeline for chimera-filtered merged ASVs
  4. The combination with highest percentage of the input reads becoming final ASVs is selected for the complete set of data

Below is the result of such operation, showing ASV percentages of total reads for all trimming combinations (1st Column = R1 lengths in bases; 1st Row = R2 lengths in bases):

R1/R2251241231221211201
25178.34%78.53%78.71%78.67%78.55%78.55%
24179.22%79.38%79.57%79.53%79.46%79.42%
23179.29%79.43%79.60%79.61%79.55%79.50%
22179.32%79.44%79.65%79.66%79.61%79.36%
21179.31%79.44%79.66%79.67%79.41%79.38%
20179.39%79.51%79.76%79.55%79.51%79.49%

Based on the above result, the trim length combination of R1 = 201 bases and R2 = 231 bases (highlighted red above), was chosen for generating final ASVs for all sequences. This combination generated highest number of merged non-chimeric ASVs and was used for downstream analyses, if requested.

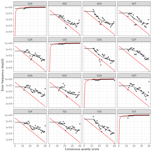
3. Error plots from learning the error rates After DADA2 building the error model for the set of data, it is always worthwhile, as a sanity check if nothing else, to visualize the estimated error rates. The error rates for each possible transition (A→C, A→G, …) are shown below. Points are the observed error rates for each consensus quality score. The black line shows the estimated error rates after convergence of the machine-learning algorithm. The red line shows the error rates expected under the nominal definition of the Q-score. The ideal result would be the estimated error rates (black line) are a good fit to the observed rates (points), and the error rates drop with increased quality as expected.

Forward Read R1 Error Plot


Reverse Read R2 Error Plot

The PDF version of these plots are available here:

 

4. DADA2 Result Summary The table below shows the summary of the DADA2 analysis, tracking paired read counts of each samples for all the steps during DADA2 denoising process - including end-trimming (filtered), denoising (denoisedF, denoisedF), pair merging (merged) and chimera removal (nonchim).

Sample IDF20250829.S01F20250829.S02F20250829.S03F20250829.S04F20250829.S05F20250829.S06F20250829.S07F20250829.S08F20250829.S09F20250829.S10F20250829.S11F20250829.S12F20250829.S13F20250829.S14F20250829.S15F20250829.S16F20250829.S17F20250829.S18F20250829.S19F20250829.S20F20250829.S21F20250829.S22F20250829.S23F20250829.S24F20250829.S25F20250829.S26F20250829.S27F20250829.S28F20250829.S29F20250829.S30F20250829.S31F20250829.S32F20250829.S33F20250829.S34F20250829.S35F20250829.S36F20250829.S37F20250829.S38F20250829.S39F20250829.S40F20250829.S41F20250829.S42F20250829.S43F20250829.S44F20250829.S45F20250829.S46F20250829.S47F20250829.S48F20250829.S49F20250829.S50F20250829.S51F20250829.S52F20250829.S53F20250829.S54F20250829.S55F20250829.S56F20250829.S57F20250829.S58F20250829.S59F20250829.S60F20250829.S61F20250829.S62F20250829.S63Row SumPercentage
input64,789303,62054,50217,370236,848227,35842,156396,23786,189372,710259,477233,133309,992295,80374,35183,184396,32635,95116,247274,439288,055258,504291,84850,649319,088288,83227,177233,289438,692279,169276,442167,449316,940283,100273,9706,859373,060192,540265,84832,952341,250280,580449,865366,524109,344350,377262,006245,770383,111343,11531,539179,71457,747284,264383,580292,835437,874320,749210,59052,396166,976273,830327,08114,596,262100.00%
filtered62,402292,31052,65616,743228,291218,84440,576381,62483,168359,085249,882224,398298,740284,83371,85380,110381,78534,51015,599263,840277,594248,864281,39148,624307,434278,33326,250224,662422,577269,123266,210161,237305,220272,561263,9666,592359,576185,535255,93631,738328,617270,129433,549352,740105,348337,347252,594236,909369,385330,46430,496172,81855,743274,220370,022282,135421,794308,954203,16250,564161,231263,944315,12314,061,96096.34%
denoisedF59,733281,98249,79315,695222,261211,03834,512358,88178,708349,090236,750213,165284,677273,81465,33774,566371,30932,98814,860256,665266,630241,527271,24845,003298,309270,53524,147219,642410,656263,921254,277156,463292,661262,038253,5776,094352,115173,834244,94230,645323,044264,383427,260339,89881,642328,233241,014227,309361,813324,63729,192164,50050,436267,968358,676276,758406,875299,129197,28148,588156,613255,537305,49713,560,37192.90%
denoisedR59,455277,51649,02015,581221,316207,67833,607342,42477,345343,289231,068209,241278,353270,38563,91673,300369,16632,72314,648255,286258,542237,027265,32542,215296,365268,22223,743215,188406,812262,541246,884155,165288,243255,857247,6485,947348,033167,025238,85730,462320,078260,819423,800335,21475,998323,736233,245220,798357,871322,86728,929157,29448,967268,632354,613275,884402,578294,560195,05747,990155,248252,201300,32813,342,12591.41%
merged56,760232,57445,36915,051208,948195,97831,860314,44772,425332,647206,251197,525270,078246,18958,09771,781347,22831,57314,099249,050234,629217,894242,70431,513273,999261,33722,401178,924397,372227,461216,474153,344263,895234,274228,1045,614337,897139,311219,59029,352270,286252,158412,242327,76371,075312,570227,699199,140340,432316,45427,895144,32145,451241,886345,880269,948385,421267,700190,53045,928148,602232,703280,31912,470,42285.44%
nonchim56,159201,39944,64215,033207,916187,55531,639275,01472,176310,506177,032186,031265,903214,30157,79871,135314,25631,50513,999236,093220,312183,061228,14631,193267,698252,59922,342150,196373,324190,107189,775152,823206,335214,085210,8655,614328,759135,508195,47029,348222,531233,946387,115312,15070,625282,554219,348196,615311,267307,46827,850133,82844,687204,323329,804259,219335,151215,107184,59645,593146,118192,714249,88511,470,14678.58%

This table can be downloaded as an Excel table below:

 

5. DADA2 Amplicon Sequence Variants (ASVs). A total of 14570 unique merged and chimera-free ASV sequences were identified, and their corresponding read counts for each sample are available in the "ASV Read Count Table" with rows for the ASV sequences and columns for sample. This read count table can be used for microbial profile comparison among different samples and the sequences provided in the table can be used to taxonomy assignment.

 

The table can be downloaded from this link:

 
 

Sample Meta Information

Download Sample Meta Information
#SampleIDCore_IDMouse_IDSexTimepointExperiment_TypeMouse_Time_ExptIndex_NumberGroup
F20250829.S01Natalia_12FFBaseline/0 days3 wk-experiment2F-Baseline/0 days-3 wk-experimentN716-S513F0_3wk
F20250829.S02Natalia_22MM3-weeks3 wk-experiment2M-3-weeks-3 wk-experimentN716-S515M3wk
F20250829.S03Natalia_35MMBaseline/0 days3 wk-experiment5M-Baseline/0 days-3 wk-experimentN716-S516M0_3wk
F20250829.S04Natalia_4286M9-days9-days-experiment286-9-days-9-days-experimentN716-S517M9
F20250829.S05Natalia_54FFBaseline/0 days3 wk-experiment4F-Baseline/0 days-3 wk-experimentN716-S518F0_3wk
F20250829.S06Natalia_6288M9-days9-days-experiment288-9-days-9-days-experimentN716-S520M9
F20250829.S07Natalia_75FFBaseline/0 days3 wk-experiment5F-Baseline/0 days-3 wk-experimentN716-S521F0_3wk
F20250829.S08Natalia_86MMBaseline/0 days9-days-experiment6M-Baseline/0 days-9-days-experimentN716-S522M0_9D
F20250829.S09Natalia_97FFBaseline/0 days9-days-experiment7F-Baseline/0 days-9-days-experimentN718-S513F0_9D
F20250829.S10Natalia_108MM3-weeks3 wk-experiment8M-3-weeks-3 wk-experimentN718-S515M3wk
F20250829.S11Natalia_116MM3-weeks3 wk-experiment6M-3-weeks-3 wk-experimentN718-S516M3wk
F20250829.S12Natalia_129FF3-weeks3 wk-experiment9F-3-weeks-3 wk-experimentN718-S517F3wk
F20250829.S13Natalia_13261M3-days9-days-experiment261-3-days-9-days-experimentN718-S518M3
F20250829.S14Natalia_145FF3-weeks3 wk-experiment5F-3-weeks-3 wk-experimentN718-S520F3wk
F20250829.S15Natalia_153FFBaseline/0 days3 wk-experiment3F-Baseline/0 days-3 wk-experimentN718-S521F0_3wk
F20250829.S16Natalia_16266M3-days9-days-experiment266-3-days-9-days-experimentN718-S522M3
F20250829.S17Natalia_177FF3-weeks3 wk-experiment7F-3-weeks-3 wk-experimentN719-S513F3wk
F20250829.S18Natalia_181FFBaseline/0 days3 wk-experiment1F-Baseline/0 days-3 wk-experimentN719-S515F0_3wk
F20250829.S19Natalia_191FF3-weeks3 wk-experiment1F-3-weeks-3 wk-experimentN719-S516F3wk
F20250829.S20Natalia_20294M9-days9-days-experiment294-9-days-9-days-experimentN719-S517M9
F20250829.S21Natalia_21280F9-days9-days-experiment280-9-days-9-days-experimentN719-S518F9
F20250829.S22Natalia_222FF3-weeks3 wk-experiment2F-3-weeks-3 wk-experimentN719-S520F3wk
F20250829.S23Natalia_23264M3-days9-days-experiment264-3-days-9-days-experimentN719-S521M3
F20250829.S24Natalia_248FFBaseline/0 days9-days-experiment8F-Baseline/0 days-9-days-experimentN719-S522F0_9D
F20250829.S25Natalia_253MMBaseline/0 days3 wk-experiment3M-Baseline/0 days-3 wk-experimentN720-S513M0_3wk
F20250829.S26Natalia_26251F3-days9-days-experiment251-3-days-9-days-experimentN720-S515F3
F20250829.S27Natalia_276FFBaseline/0 days9-days-experiment6F-Baseline/0 days-9-days-experimentN720-S516F0_9D
F20250829.S28Natalia_281MM3-weeks3 wk-experiment1M-3-weeks-3 wk-experimentN720-S517M3wk
F20250829.S29Natalia_29279F9-days9-days-experiment279-9-days-9-days-experimentN720-S518F9
F20250829.S30Natalia_303MM3-weeks3 wk-experiment3M-3-weeks-3 wk-experimentN720-S520M3wk
F20250829.S31Natalia_316FF3-weeks3 wk-experiment6F-3-weeks-3 wk-experimentN720-S521F3wk
F20250829.S32Natalia_32269M3-days9-days-experiment269-3-days-9-days-experimentN720-S522M3
F20250829.S33Natalia_339MM3-weeks3 wk-experiment9M-3-weeks-3 wk-experimentN721-S513M3wk
F20250829.S34Natalia_34295M9-days9-days-experiment295-9-days-9-days-experimentN721-S515M9
F20250829.S35Natalia_35289M9-days9-days-experiment289-9-days-9-days-experimentN721-S516M9
F20250829.S36Natalia_361MMBaseline/0 days3 wk-experiment1M-Baseline/0 days-3 wk-experimentN721-S517M0_3wk
F20250829.S37Natalia_37252F3-days9-days-experiment252-3-days-9-days-experimentN721-S518F3
F20250829.S38Natalia_3810MMBaseline/0 days9-days-experiment10M-Baseline/0 days-9-days-experimentN721-S520M0_9D
F20250829.S39Natalia_39291M9-days9-days-experiment291-9-days-9-days-experimentN721-S521M9
F20250829.S40Natalia_407MMBaseline/0 days9-days-experiment7M-Baseline/0 days-9-days-experimentN721-S522M0_9D
F20250829.S41Natalia_414MM3-weeks3 wk-experiment4M-3-weeks-3 wk-experimentN722-S513M3wk
F20250829.S42Natalia_42285F9-days9-days-experiment285-9-days-9-days-experimentN722-S515F9
F20250829.S43Natalia_43258F3-days9-days-experiment258-3-days-9-days-experimentN722-S516F3
F20250829.S44Natalia_44282F9-days9-days-experiment282-9-days-9-days-experimentN722-S517F9
F20250829.S45Natalia_454MMBaseline/0 days3 wk-experiment4M-Baseline/0 days-3 wk-experimentN722-S518M0_3wk
F20250829.S46Natalia_46268M3-days9-days-experiment268-3-days-9-days-experimentN722-S520M3
F20250829.S47Natalia_47257F3-days9-days-experiment257-3-days-9-days-experimentN722-S521F3
F20250829.S48Natalia_488MMBaseline/0 days9-days-experiment8M-Baseline/0 days-9-days-experimentN722-S522M0_9D
F20250829.S49Natalia_49293M9-days9-days-experiment293-9-days-9-days-experimentN723-S513M9
F20250829.S50Natalia_50254F3-days9-days-experiment254-3-days-9-days-experimentN723-S515F3
F20250829.S51Natalia_519MMBaseline/0 days9-days-experiment9M-Baseline/0 days-9-days-experimentN723-S516M0_9D
F20250829.S52Natalia_52290M9-days9-days-experiment290-9-days-9-days-experimentN723-S517M9
F20250829.S53Natalia_5310FFBaseline/0 days9-days-experiment10F-Baseline/0 days-9-days-experimentN723-S518F0_9D
F20250829.S54Natalia_548FF3-weeks3 wk-experiment8F-3-weeks-3 wk-experimentN723-S520F3wk
F20250829.S55Natalia_55283F9-days9-days-experiment283-9-days-9-days-experimentN723-S521F9
F20250829.S56Natalia_56260F3-days9-days-experiment260-3-days-9-days-experimentN723-S522F3
F20250829.S57Natalia_573FF3-weeks3 wk-experiment3F-3-weeks-3 wk-experimentN724-S513F3wk
F20250829.S58Natalia_587MM3-weeks3 wk-experiment7M-3-weeks-3 wk-experimentN724-S515M3wk
F20250829.S59Natalia_59265M3-days9-days-experiment265-3-days-9-days-experimentN724-S516M3
F20250829.S60Natalia_602MMBaseline/0 days3 wk-experiment2M-Baseline/0 days-3 wk-experimentN724-S517M0_3wk
F20250829.S61Natalia_619FFBaseline/0 days9-days-experiment9F-Baseline/0 days-9-days-experimentN724-S518F0_9D
F20250829.S62Natalia_625MM3-weeks3 wk-experiment5M-3-weeks-3 wk-experimentN724-S520M3wk
F20250829.S63Natalia_634FF3-weeks3 wk-experiment4F-3-weeks-3 wk-experimentN724-S521F3wk
 
 

ASV Read Counts by Samples

#Sample IDRead Count
F20250829.S365,614
F20250829.S1913,999
F20250829.S0415,033
F20250829.S2722,342
F20250829.S5127,850
F20250829.S4029,348
F20250829.S2431,193
F20250829.S1831,505
F20250829.S0731,639
F20250829.S0344,642
F20250829.S5344,687
F20250829.S6045,593
F20250829.S0156,159
F20250829.S1557,798
F20250829.S4570,625
F20250829.S1671,135
F20250829.S0972,176
F20250829.S52133,828
F20250829.S38135,508
F20250829.S61146,118
F20250829.S28150,196
F20250829.S32152,823
F20250829.S11177,032
F20250829.S22183,061
F20250829.S59184,596
F20250829.S12186,031
F20250829.S06187,555
F20250829.S31189,775
F20250829.S30190,107
F20250829.S62192,714
F20250829.S39195,470
F20250829.S48196,615
F20250829.S02201,399
F20250829.S54204,323
F20250829.S33206,335
F20250829.S05207,916
F20250829.S35210,865
F20250829.S34214,085
F20250829.S14214,301
F20250829.S58215,107
F20250829.S47219,348
F20250829.S21220,312
F20250829.S41222,531
F20250829.S23228,146
F20250829.S42233,946
F20250829.S20236,093
F20250829.S63249,885
F20250829.S26252,599
F20250829.S56259,219
F20250829.S13265,903
F20250829.S25267,698
F20250829.S08275,014
F20250829.S46282,554
F20250829.S50307,468
F20250829.S10310,506
F20250829.S49311,267
F20250829.S44312,150
F20250829.S17314,256
F20250829.S37328,759
F20250829.S55329,804
F20250829.S57335,151
F20250829.S29373,324
F20250829.S43387,115
 
 
 

VII. Analysis - Read Taxonomy Assignment

Read Taxonomy Assignment - Methods

 

The close-reference taxonomy assignment of the ASV sequences using BLASTN is based on the algorithm published by Al-Hebshi et. al. (2015)[2].

The species-level, open-reference 16S rRNA NGS reads taxonomy assignment pipeline

Version 20210310a
 
 

1. Raw sequences reads in FASTA format were BLASTN-searched against a combined set of 16S rRNA reference sequences - the FOMC 16S rRNA Reference Sequences version 20221029 (https://microbiome.forsyth.org/ftp/refseq/). This set consists of the HOMD (version 15.22 http://www.homd.org/index.php?name=seqDownload&file&type=R ), Mouse Oral Microbiome Database (MOMD version 5.1 https://momd.org/ftp/16S_rRNA_refseq/MOMD_16S_rRNA_RefSeq/V5.1/), and the NCBI 16S rRNA reference sequence set (https://ftp.ncbi.nlm.nih.gov/blast/db/16S_ribosomal_RNA.tar.gz). These sequences were screened and combined to remove short sequences (<1000nt), chimera, duplicated and sub-sequences, as well as sequences with poor taxonomy annotation (e.g., without species information). This process resulted in 1,015 full-length 16S rRNA sequences from HOMD V15.22, 356 from MOMD V5.1, and 22,126 from NCBI, a total of 23,497 sequences. Altogether these sequence represent a total of 17,035 oral and non-oral microbial species.

The NCBI BLASTN version 2.7.1+ (Zhang et al, 2000) [3] was used with the default parameters. Reads with ≥ 98% sequence identity to the matched reference and ≥ 90% alignment length (i.e., ≥ 90% of the read length that was aligned to the reference and was used to calculate the sequence percent identity) were classified based on the taxonomy of the reference sequence with highest sequence identity. If a read matched with reference sequences representing more than one species with equal percent identity and alignment length, it was subject to chimera checking with USEARCH program version v8.1.1861 (Edgar 2010). Non-chimeric reads with multi-species best hits were considered valid and were assigned with a unique species notation (e.g., spp) denoting unresolvable multiple species.

2. Unassigned reads (i.e., reads with < 98% identity or < 90% alignment length) were pooled together and reads < 200 bases were removed. The remaining reads were subject to the de novo operational taxonomy unit (OTU) calling and chimera checking using the USEARCH program version v8.1.1861 (Edgar 2010)[4]. The de novo OTU calling and chimera checking was done using 98% as the sequence identity cutoff, i.e., the species-level OTU. The output of this step produced species-level de novo clustered OTUs with 98% identity. Representative reads from each of the OTUs/species were then BLASTN-searched against the same reference sequence set again to determine the closest species for these potential novel species. These potential novel species were pooled together with the reads that were signed to specie-level in the previous step, for down-stream analyses.

Reference:

  1. Al-Hebshi NN, Nasher AT, Idris AM, Chen T. Robust species taxonomy assignment algorithm for 16S rRNA NGS reads: application to oral carcinoma samples. J Oral Microbiol. 2015 Sep 29;7:28934. doi: 10.3402/jom.v7.28934. PMID: 26426306; PMCID: PMC4590409.
  2. Zhang Z, Schwartz S, Wagner L, Miller W. A greedy algorithm for aligning DNA sequences. J Comput Biol. 2000 Feb-Apr;7(1-2):203-14. doi: 10.1089/10665270050081478. PMID: 10890397.
  3. Edgar RC. Search and clustering orders of magnitude faster than BLAST. Bioinformatics. 2010 Oct 1;26(19):2460-1. doi: 10.1093/bioinformatics/btq461. Epub 2010 Aug 12. PubMed PMID: 20709691.
  4. 3. Designations used in the taxonomy:

    	1) Taxonomy levels are indicated by these prefixes:
    	
    	   k__: domain/kingdom
    	   p__: phylum
    	   c__: class
    	   o__: order
    	   f__: family
    	   g__: genus  
    	   s__: species
    	
    	   Example: 
    	
    	   k__Bacteria;p__Firmicutes;c__Clostridia;o__Clostridiales;f__Lachnospiraceae;g__Blautia;s__faecis
    		
    	2) Unique level identified – known species:
    	   
    	   k__Bacteria;p__Firmicutes;c__Clostridia;o__Clostridiales;f__Lachnospiraceae;g__Roseburia;s__hominis
    	
    	   The above example shows some reads match to a single species (all levels are unique)
    	
    	3) Non-unique level identified – known species:
    
    	   k__Bacteria;p__Firmicutes;c__Clostridia;o__Clostridiales;f__Lachnospiraceae;g__Roseburia;s__multispecies_spp123_3
    	   
    	   The above example “s__multispecies_spp123_3” indicates certain reads equally match to 3 species of the 
    	   genus Roseburia; the “spp123” is a temporally assigned species ID.
    	
    	   k__Bacteria;p__Firmicutes;c__Clostridia;o__Clostridiales;f__Lachnospiraceae;g__multigenus;s__multispecies_spp234_5
    	   
    	   The above example indicates certain reads match equally to 5 different species, which belong to multiple genera.; 
    	   the “spp234” is a temporally assigned species ID.
    	
    	4) Unique level identified – unknown species, potential novel species:
    	   
    	   k__Bacteria;p__Firmicutes;c__Clostridia;o__Clostridiales;f__Lachnospiraceae;g__Roseburia;s__ hominis_nov_97%
    	   
    	   The above example indicates that some reads have no match to any of the reference sequences with 
    	   sequence identity ≥ 98% and percent coverage (alignment length)  ≥ 98% as well. However this groups 
    	   of reads (actually the representative read from a de novo  OTU) has 96% percent identity to 
    	   Roseburia hominis, thus this is a potential novel species, closest to Roseburia hominis. 
    	   (But they are not the same species).
    	
    	5) Multiple level identified – unknown species, potential novel species:
    	   k__Bacteria;p__Firmicutes;c__Clostridia;o__Clostridiales;f__Lachnospiraceae;g__Roseburia;s__ multispecies_sppn123_3_nov_96%
    	
    	   The above example indicates that some reads have no match to any of the reference sequences 
    	   with sequence identity ≥ 98% and percent coverage (alignment length)  ≥ 98% as well. 
    	   However this groups of reads (actually the representative read from a de novo  OTU) 
    	   has 96% percent identity equally to 3 species in Roseburia. Thus this is no single 
    	   closest species, instead this group of reads match equally to multiple species at 96%. 
    	   Since they have passed chimera check so they represent a novel species. “sppn123” is a 
    	   temporary ID for this potential novel species. 
    

 
4. The taxonomy assignment algorithm is illustrated in this flow char below:
 
 
 
 

Read Taxonomy Assignment - Result Summary *

CodeCategoryMPC=0% (>=1 read)MPC=0.01%(>=1072 reads)
ATotal reads11,470,14611,470,146
BTotal assigned reads10,722,25210,722,252
CAssigned reads in species with read count < MPC077,150
DAssigned reads in samples with read count < 50000
ETotal samples6363
FSamples with reads >= 5006363
GSamples with reads < 50000
HTotal assigned reads used for analysis (B-C-D)10,722,25210,645,102
IReads assigned to single species1,281,5271,237,781
JReads assigned to multiple species9,440,6699,407,321
KReads assigned to novel species560
LTotal number of species882105
MNumber of single species49550
NNumber of multi-species37055
ONumber of novel species170
PTotal unassigned reads747,894747,894
QChimeric reads33
RReads without BLASTN hits137,967137,967
SOthers: short, low quality, singletons, etc.609,924609,924
A=B+P=C+D+H+Q+R+S
E=F+G
B=C+D+H
H=I+J+K
L=M+N+O
P=Q+R+S
* MPC = Minimal percent (of all assigned reads) read count per species, species with read count < MPC were removed.
* Samples with reads < 500 were removed from downstream analyses.
* The assignment result from MPC=0.1% was used in the downstream analyses.
 
 
 

Read Taxonomy Assignment - ASV Species-Level Read Counts Table

This table shows the read counts for each sample (columns) and each species identified based on the ASV sequences. The downstream analyses were based on this table.
SPIDTaxonomyF20250829.S01F20250829.S02F20250829.S03F20250829.S04F20250829.S05F20250829.S06F20250829.S07F20250829.S08F20250829.S09F20250829.S10F20250829.S11F20250829.S12F20250829.S13F20250829.S14F20250829.S15F20250829.S16F20250829.S17F20250829.S18F20250829.S19F20250829.S20F20250829.S21F20250829.S22F20250829.S23F20250829.S24F20250829.S25F20250829.S26F20250829.S27F20250829.S28F20250829.S29F20250829.S30F20250829.S31F20250829.S32F20250829.S33F20250829.S34F20250829.S35F20250829.S36F20250829.S37F20250829.S38F20250829.S39F20250829.S40F20250829.S41F20250829.S42F20250829.S43F20250829.S44F20250829.S45F20250829.S46F20250829.S47F20250829.S48F20250829.S49F20250829.S50F20250829.S51F20250829.S52F20250829.S53F20250829.S54F20250829.S55F20250829.S56F20250829.S57F20250829.S58F20250829.S59F20250829.S60F20250829.S61F20250829.S62F20250829.S63
SP1005Bacteria;Firmicutes;Clostridia;Eubacteriales;Lachnospiraceae;Roseburia;faecis30027031212497112000205000067040031910000000400000105053000006065216152100002206375841016
SP1036Bacteria;Firmicutes;Clostridia;Eubacteriales;Oscillospiraceae;Subdoligranulum;variabile4506055813183370000003000000000000000000000000000000016013014051318110001341221
SP105Bacteria;Firmicutes;Erysipelotrichia;Erysipelotrichales;Erysipelotrichaceae;Faecalibaculum;rodentium147654148499461019539920296260565530001190173514900363830058556659202916517688164515952382121305806125483216448237862434178431586818967610137262709052158764163883636633272153324522481111201461597466
SP1148Bacteria;Proteobacteria;Betaproteobacteria;Neisseriales;Neisseriaceae;Uruburuella;testudinis4887826111280245716915860631694674921518812190312201252231892142458922434455038935115244182283321494627742004085429342131713952653482106378356314138358213932401811653703241348102328
SP1171Bacteria;Firmicutes;Bacilli;Lactobacillales;Streptococcaceae;Streptococcus;entericus16789527181917853254431831124144223217472685105010832174122071023622749543699304421270237010538037546155373117231140122932119118955882664
SP119Bacteria;Firmicutes;Clostridia;Eubacteriales;Lachnospiraceae;Lachnospiraceae_[G-14];bacterium_MOT-184001301400462313001010008730030702618009001800110154044100000000041239000034000085000
SP120Bacteria;Firmicutes;Clostridia;Eubacteriales;Eubacteriales_[F-1];Eubacteriales_[G-4];bacterium_MOT-164012800000434000601131000170001400185600190306310000000004071801236001600000014024002400030
SP130Bacteria;Bacteroidetes;Bacteroidia;Bacteroidales;Prevotellaceae;Prevotella;stercorea000000016490000000000000028000000000000000000000000000000000000000
SP1382Bacteria;Firmicutes;Bacilli;Lactobacillales;Carnobacteriaceae;Carnobacteriaceae_[G-1];bacterium_MOT-198000000000003560000530600000000000000000000140000000000000000000000000
SP1395Bacteria;Proteobacteria;Gammaproteobacteria;Oceanospirillales;Oceanospirillaceae;Nitrincola;lacisaponensis52945175863172412546171184201137937413032630861413842294021281934546491022843124655271443135287242423132608515442536412132240
SP1446Bacteria;Firmicutes;Bacilli;Lactobacillales;Carnobacteriaceae;Atopostipes;sp._MOT-2001505003010140000100900030000000249005200000000060016000170000000029000164300131208
SP1532Bacteria;Firmicutes;Bacilli;Lactobacillales;Streptococcaceae;Streptococcus;pseudoporcinus530400804222329090048018300432621210824164265203200230031032972037026510124157182163539060039170059241471425
SP1660Bacteria;Actinobacteria;Actinomycetia;Micrococcales;Dermatophilaceae;Austwickia;chelonae100138323255996056986530128213112032543943380406616245280745191018343630537426551734894418926583793610367211317109555663129613324053
SP1789Bacteria;Bacteroidetes;Flavobacteriia;Flavobacteriales;Flavobacteriaceae;Mesonia;hippocampi892250101308829291104616148422261942503258271539361615369788128224039103712210635501379104602004784237525055115587341494158771712230
SP18Bacteria;Firmicutes;Clostridia;Eubacteriales;Lachnospiraceae;Lachnoclostridium;[Clostridium] scindens000031500927501904718594010320000029045001780735641600152400570110300881120213217000260810001262012105
SP1887Bacteria;Firmicutes;Bacilli;Lactobacillales;Streptococcaceae;Streptococcus;agalactiae000000000000000000000000000000000000000000000610000000334960000000310
SP1966Bacteria;Firmicutes;Erysipelotrichia;Erysipelotrichales;Erysipelotrichaceae;Erysipelatoclostridium;[Clostridium] spiroforme900000025030000000000000000000000000000000000000000000000000000000
SP1982Bacteria;Firmicutes;Bacilli;Lactobacillales;Carnobacteriaceae;Desemzia;incerta000000000000000000000000755600000000000000000000000000000000000000
SP215Bacteria;Firmicutes;Clostridia;Eubacteriales;Eubacteriales_[F-1];Eubacteriales_[G-1];bacterium_MOT-15900000000191000809000000600536104400000002090024281317076523037178406000000000019201300
SP216Bacteria;Actinobacteria;Actinomycetia;Propionibacteriales;Propionibacteriaceae;Cutibacterium;acnes43139688015001673571880041863498800210148981690300500162099019313403022913061412612801739179200675320407380378151231439495116903999770
SP233Bacteria;Bacteroidetes;Flavobacteriia;Flavobacteriales;Weeksellaceae;Epilithonimonas;hominis770602210676263483611831832728273184503660057361614842042161217574673206085454607811829214413528637990366609032353640751892540
SP238Bacteria;Proteobacteria;Gammaproteobacteria;Pasteurellales;Pasteurellaceae;Rodentibacter;heylii9644044775008200759334710200118854400125016094611491006909300002076191341190771820102111280011211107820682618421120906660730
SP285Bacteria;Firmicutes;Clostridia;Eubacteriales;Eubacteriales_[F-1];Eubacteriales_[G-4];bacterium_MOT-16500002370015122000114661101000000023432102102900474900172710900700039151253800007700052017929
SP366Bacteria;Tenericutes;Mollicutes;Mollicutes_[O-1];Mollicutes_[F-1];Mollicutes_[G-1];bacterium_MOT-18608201073000624604723196103000002455181708021751560015122403304404616120783700000000661313134
SP367Bacteria;Thermotogae;Thermotogae;Petrotogales;Petrotogaceae;Oceanotoga;teriensis94114611111762817884411163815514174615354175812119229942781324494814761222440197250321543564163623554275055342223343201902532
SP385Bacteria;Bacteroidetes;Bacteroidia;Bacteroidales;Prevotellaceae;Prevotella;copri0000000299890000010003000000000000000000090000000009000000000000070
SP386Bacteria;Firmicutes;Negativicutes;Veillonellales;Veillonellaceae;Megasphaera;elsdenii000000015740000007000000000000000000000000000000000000000000000000
SP391Bacteria;Firmicutes;Bacilli;Lactobacillales;Streptococcaceae;Streptococcus;danieliae00000002300425576100001075000000000000000185420000126000000000408000018283900062490009690
SP417Bacteria;Firmicutes;Erysipelotrichia;Erysipelotrichales;Erysipelotrichaceae;Erysipelatoclostridium;[Clostridium] saccharogumia1500012180010022050171206000071000880034685000516401474130943546117201724231807100702314970006090
SP42Bacteria;Firmicutes;Bacilli;Bacillales;Staphylococcaceae;Mammaliicoccus;sciuri000000000000000000000269900000000474700000000000000000000000001503000003445
SP425Bacteria;Firmicutes;Clostridia;Eubacteriales;Lachnospiraceae;Lachnoclostridium;pacaense1100000057490001800000140500293400000000000010110190017000014119004025000100000
SP479Bacteria;Firmicutes;Clostridia;Eubacteriales;Oscillospiraceae;Acutalibacter;muris012001000009007746393113815146700322304221130011302680991290011159861227033002968022723101219071060038011295
SP496Bacteria;Proteobacteria;Gammaproteobacteria;Pasteurellales;Pasteurellaceae;Pasteurella;testudinis15235156453201947289204164362316642314023137731281094892115387891111313117354675111120341743031141381010518613547090133695978410668961320345766815612639236131
SP52Bacteria;Firmicutes;Clostridia;Eubacteriales;Oscillospiraceae;Faecalibacterium;prausnitzii510450119667162970000000000000000740000000000700000300002624923389442616192724135639
SP572Bacteria;Firmicutes;Erysipelotrichia;Erysipelotrichales;Turicibacteraceae;Turicibacter;sanguinis31105853095322780321835679720745787741773243025680104310211099126337771146291416203550995141441012199477609816346084494399220036619512471626430513868054358958731736753780147266309535
SP577Bacteria;Bacteroidetes;Bacteroidia;Bacteroidales;Porphyromonadaceae;Porphyromonas;pogonae1474911330178188608815612426289934133160644178103287056255595512732037437671104171031728776158312298229386450513685305810861658285711229838482141
SP583Bacteria;Firmicutes;Erysipelotrichia;Erysipelotrichales;Erysipelotrichaceae;Dubosiella;newyorkensis142709912355662692345369871158154124294388368010884112307035792045771829710241099728334119240827518379411388972086555181127130113410172510534094529611403372879820471873758801380109549354288238983785497372178651623292
SP657Bacteria;Verrucomicrobia;Verrucomicrobiae;Verrucomicrobiales;Akkermansiaceae;Akkermansia;muciniphila45432614808220279993241234045835007370258834616534292509219586302030447312011073867313502686620155711001805645503813064947189928466730727668179134801042165551742707
SP687Bacteria;Firmicutes;Clostridia;Eubacteriales;Peptostreptococcaceae;Romboutsia;timonensis01700103303173550001140651250019200202106292391234061383121843301393606150952818174026416656215717001700411010105701500
SP694Bacteria;Proteobacteria;Gammaproteobacteria;Alteromonadales;Idiomarinaceae;Idiomarina;loihiensis256002333111247000604060242213120627581723028608016150113602601028265315101121224400200182215006864821
SP706Bacteria;Firmicutes;Clostridia;Eubacteriales;Eubacteriales_[F-1];Eubacteriales_[G-2];bacterium_MOT-162039002026002480120000000390000001260015041590037000131301390000011667600000000000005
SP75Bacteria;Actinobacteria;Actinomycetia;Corynebacteriales;Corynebacteriaceae;Corynebacterium;falsenii14941881113329210214836344592780129145435220424753765746851384101797480420210801367380312421584132152111532372210321214155543019093390734159219211662018120349801124143469951065103173950712686816257187435101279107647984171071
SP765Bacteria;Proteobacteria;Gammaproteobacteria;Pseudomonadales;Moraxellaceae;Acinetobacter;albensis0700020000000000001300000023840300000000000000000000000050060000046014
SP77Bacteria;Firmicutes;Clostridia;Eubacteriales;Oscillospiraceae;Lawsonibacter;asaccharolyticus00000002051390027815122027805004208025804391109139140020144787360181200138229339000032000015508186
SP818Bacteria;Firmicutes;Clostridia;Eubacteriales;Lachnospiraceae;Lachnospiraceae_[G-3];bacterium_MOT-168005035200000003026617989490000004000007461539000016012240064512310520000612180000000172
SP826Bacteria;Firmicutes;Bacilli;Lactobacillales;Lactobacillaceae;Ligilactobacillus;salivarius64013000010925000000390000000000000000000000000000000000000000000006600
SP877Bacteria;Firmicutes;Clostridia;Eubacteriales;Lachnospiraceae;Lachnospiraceae_[G-11];bacterium_MOT-17701000220022900031700089225200000415000000090002661130000500004860000000001559000
SP959Bacteria;Firmicutes;Bacilli;Lactobacillales;Lactobacillaceae;Lactobacillus;kitasatonis0000000304300000024000000000000000000000000000000000000000080000000
SP963Bacteria;Bacteroidetes;Flavobacteriia;Flavobacteriales;Weeksellaceae;Weeksellaceae_[G_1];bacterium_MOT-126000001900000000000000000000000000000000000000000000000175710000000160
SP975Bacteria;Firmicutes;Clostridia;Eubacteriales;Peptostreptococcaceae;Clostridioides;difficile700000066840000001400000000000000009000004000000000000000001100012000
SPP102Bacteria;Proteobacteria;Gammaproteobacteria;Xanthomonadales;Rhodanobacteraceae;Rhodanobacter;multispecies_spp102_32214370165001535301614256010140111315019125828200133110009028341426820241780300141242143174902815011181746022
SPP106Bacteria;Proteobacteria;Gammaproteobacteria;Pseudomonadales;Pseudomonadaceae;Pseudomonas;multispecies_spp106_8751866242116528319047005812915275549442313215913332710520244010385924491962660123538431964137257464455375808242524063902342646
SPP111Bacteria;Firmicutes;Bacilli;Bacillales;Staphylococcaceae;Mammaliicoccus;multispecies_spp111_264427420649852093005660201318041224520854490491503773034044800754038241080014438239014015200372900013760051000000004886785045033799979
SPP117Bacteria;Firmicutes;Clostridia;Eubacteriales;Clostridiaceae;Clostridium;multispecies_spp117_20765056141907826900020452711144556103706563599294010501990519132622999391191322141029514226821481661095901373079881039501181400
SPP124Bacteria;Firmicutes;Bacilli;Lactobacillales;Enterococcaceae;Enterococcus;multispecies_spp124_1400000330000411004160000003583370338096444005410027703163630657027300345619487033800328526000048045425903070000
SPP127Bacteria;Proteobacteria;multiclass;multiorder;multifamily;multigenus;multispecies_spp127_2000000000000000000000000205000000000000000000000000000000000000000
SPP129Bacteria;Proteobacteria;Betaproteobacteria;Burkholderiales;Oxalobacteraceae;Massilia;multispecies_spp129_2000000000000000000000000640900000000000000000000000000000000000000
SPP131Bacteria;Proteobacteria;Gammaproteobacteria;Vibrionales;Vibrionaceae;multigenus;multispecies_spp131_12520484511870252491580054028192253041290174812024730640242729474505498317303664441501435294246231363806451302726631811953
SPP141Bacteria;Firmicutes;Bacilli;Bacillales;Staphylococcaceae;Staphylococcus;multispecies_spp141_17000051002500044400206310000030866950003300258115543552000067000161909321939900486220087900371000011940018000
SPP151Bacteria;Firmicutes;Bacilli;Lactobacillales;Carnobacteriaceae;Carnobacterium;multispecies_spp151_400000000000000000000000010127600000000000000000000000000000000000000
SPP165Bacteria;Proteobacteria;Gammaproteobacteria;Enterobacterales;Erwiniaceae;multigenus;multispecies_spp165_60000000000000000000000001037400000000000000000000000000000000000000
SPP168Bacteria;Firmicutes;Bacilli;Lactobacillales;multifamily;multigenus;multispecies_spp168_61650127253626598632820008504500130124000011445101580000000035034501200000464008920094016001125000012044000
SPP194Bacteria;Proteobacteria;Gammaproteobacteria;Pasteurellales;Pasteurellaceae;multigenus;multispecies_spp194_3000000000075490000065000000000000000919000000000000000000000000301600089620
SPP21Bacteria;Proteobacteria;Gammaproteobacteria;Enterobacterales;Enterobacteriaceae;multigenus;multispecies_spp21_5000000005000000000000000618800000000000013500000000000000000000000000
SPP219Bacteria;Proteobacteria;Epsilonproteobacteria;Campylobacterales;Arcobacteraceae;Malaciobacter;multispecies_spp219_24451002769055052312812265735011185530125122150150280269361207812322381107402377284694114221527829040159526725226396804015753521197357374182634627227899345184482042161443613341064151295
SPP222Bacteria;Firmicutes;Bacilli;Lactobacillales;Lactobacillaceae;Lactobacillus;multispecies_spp222_433032081424269041038775618220041116324641344359962024569363253855712577704454931792894514711061335721910847372107422145893149155199473340552467897291623561757515899860566728260838054061414717823629098861491
SPP226Bacteria;Firmicutes;Bacilli;Lactobacillales;Lactobacillaceae;Lacticaseibacillus;multispecies_spp226_241374453479709714621092210185831000180023012000001500150000130000302080000153600407701076198747733571412243138366337213973098140873601622
SPP228Bacteria;Proteobacteria;Gammaproteobacteria;Pasteurellales;Pasteurellaceae;multigenus;multispecies_spp228_600000000590033707004431550120460000000000005100000608041000000000000031417000000000
SPP229Bacteria;Firmicutes;Bacilli;Bacillales;Staphylococcaceae;Staphylococcus;multispecies_spp229_954288720207314614059273435512332748411077002403321660475173968474577036635348134014638460461115255233395813646511197815066861920366023816111245333902532031567131019333213573904951711030521
SPP235Bacteria;Firmicutes;Bacilli;Lactobacillales;Streptococcaceae;Streptococcus;multispecies_spp235_31661211312245101982794159531610687263119675338210185710656780440131802029928258198102456321831431346313771371130764920218479552048
SPP237Bacteria;Proteobacteria;Gammaproteobacteria;Vibrionales;Vibrionaceae;Vibrio;multispecies_spp237_31339220131093234942203712900698750746324141368951817316414712538831225628088320330824265470453244712613621127934712240473922541048316505305120124134621435574823451932893734633111089574044143546867988853102827886829
SPP239Bacteria;Proteobacteria;Gammaproteobacteria;Vibrionales;Vibrionaceae;Salinivibrio;multispecies_spp239_494091437623422371331074574016268615771572919581293101212806260527532042763056805002383015794347720722285606391438038585785251961884099443562441856909316976307889731106584295486091235325831669239812485455685504184755522909511477743912564652283652188518415223
SPP241Bacteria;Proteobacteria;Gammaproteobacteria;Oceanospirillales;Halomonadaceae;Halomonas;multispecies_spp241_101833581165354634131952101097511756622471707672822232132865824813744372035205462085488759107596101290364407493556155762150532171015069979150625484786713965123614578636121365107165211478747401307135153196031454
SPP259Bacteria;Firmicutes;Bacilli;Lactobacillales;Lactobacillaceae;Ligilactobacillus;multispecies_spp259_41251290149371581194349264471340162531373421971171393005135163222103780046011534851597414056112559328346266864101424712365213738688098106843971061896118465
SPP264Bacteria;Proteobacteria;Epsilonproteobacteria;Campylobacterales;Arcobacteraceae;Aliarcobacter;multispecies_spp264_2381635049553628323881657231601345270000068373011009029273111616706603702857111595041701804202220413182051
SPP268Bacteria;Proteobacteria;Alphaproteobacteria;Rhodobacterales;Rhodobacteraceae;Paracoccus;multispecies_spp268_83034818547351286871143301956169370736260781271251581085795156648213209221733557126120168242503415118825814153273168728149194117712014011676243122181131258820418877556187
SPP270Bacteria;multiphylum;multiclass;multiorder;multifamily;multigenus;multispecies_spp270_110000000000000000000000009020000000000000000000130000000000000000000
SPP273Bacteria;Firmicutes;Bacilli;Lactobacillales;Leuconostocaceae;Leuconostoc;multispecies_spp273_2000000000000000000000000547600000000000000000000000000000000000000
SPP279Bacteria;Firmicutes;Bacilli;Lactobacillales;Enterococcaceae;Enterococcus;multispecies_spp279_32495119190746937289118575594648840357651142724588465371375225817125753652377019994910875250501149110909903255304825514594948026439007834777857364402136596114781466360164625311196735073520749173865825872652
SPP281Bacteria;Proteobacteria;Gammaproteobacteria;Alteromonadales;Pseudoalteromonadaceae;Pseudoalteromonas;multispecies_spp281_1988000629700694229665013161433000039084075863501637460048750570028311324736169750050001030000012500
SPP282Bacteria;Proteobacteria;Gammaproteobacteria;Alteromonadales;Pseudoalteromonadaceae;Pseudoalteromonas;multispecies_spp282_117941145841721405770399262780000260002816018004639250000190003410071360102100690080415632466226528227265124143035585842128152487
SPP288Bacteria;Firmicutes;Bacilli;Lactobacillales;Enterococcaceae;Enterococcus;multispecies_spp288_154074156973258280863971370165812374459112314781822869532099116012610071614761940333902233192687158178493861690043316652120712538661618025028812529628981345267994315610415824512302935241512913266134818321189507304393265995116211820501757521878317433126018025358746436934791237779193381116002303941416793039105592548264536
SPP291Bacteria;Firmicutes;Bacilli;Lactobacillales;Lactobacillaceae;Ligilactobacillus;multispecies_spp291_2000000025770000000000000000000000000000000000000000000000000000000
SPP30Bacteria;Actinobacteria;Coriobacteriia;Eggerthellales;Eggerthellaceae;Adlercreutzia;multispecies_spp30_20000000515000000000000820000132100294000630001700907215990062680119000012911205000000
SPP304Bacteria;Firmicutes;Bacilli;Lactobacillales;Lactobacillaceae;Limosilactobacillus;multispecies_spp304_8000028001702000000800000000150000000500000119600000000170000070000001200
SPP305Bacteria;Firmicutes;Bacilli;Lactobacillales;Lactobacillaceae;multigenus;multispecies_spp305_12210000042397000000000000000017000000000000000000000000000000000002600
SPP311Bacteria;Proteobacteria;Gammaproteobacteria;Pasteurellales;Pasteurellaceae;Muribacter;multispecies_spp311_300000230000148891030161005750000000000000000000072000015000000900028000000001705426
SPP313Bacteria;Proteobacteria;Gammaproteobacteria;Aeromonadales;Aeromonadaceae;Aeromonas;multispecies_spp313_255904414117673925432500501581702352011101516723245827013910181701595152501128121381632124252511737128418141755591582449
SPP316Bacteria;Firmicutes;Bacilli;Lactobacillales;Streptococcaceae;Streptococcus;multispecies_spp316_3101897027079420180511686754452226243268440962805782460413105744161220973019054030473742305712123151021682703912151673313028000341514715114333260973484752987875993
SPP320Bacteria;Actinobacteria;Actinomycetia;Bifidobacteriales;Bifidobacteriaceae;Bifidobacterium;multispecies_spp320_2842405091621016735959153865842308663366454269322447137170237103180992423844834268810342261541372027049624332124968717298664686848250324250318733153235985212257589562195721417292781320321287581884410856897894181608304983619159500034252
SPP321Bacteria;Firmicutes;Bacilli;Bacillales;Planococcaceae;Sporosarcina;multispecies_spp321_255011703070620110000130004400015002410019000160000013001600023100000230000091120200015
SPP336Bacteria;Actinobacteria;Actinomycetia;Corynebacteriales;Corynebacteriaceae;Corynebacterium;multispecies_spp336_28095601289342220000000000000000000000000000000000000000387758146107761242884713732982
SPP338Bacteria;Proteobacteria;Epsilonproteobacteria;Campylobacterales;Arcobacteraceae;multigenus;multispecies_spp338_2490320983400430005900015170352301908123350340018002804002000243222850096212500450510014058922239
SPP339Bacteria;Firmicutes;Bacilli;Lactobacillales;Streptococcaceae;Streptococcus;multispecies_spp339_1876112098208300561003240000320049420220190111336730968621381166242529373401309208212855486608920292282758116360250421447460300011
SPP35Bacteria;Firmicutes;Bacilli;Lactobacillales;Streptococcaceae;Lactococcus;multispecies_spp35_4110714320196934945260000011000000003916000800100000036300000500005262921698013253381655574782349
SPP351Bacteria;Proteobacteria;Gammaproteobacteria;Enterobacterales;Enterobacteriaceae;multigenus;multispecies_spp351_7653115085822222316233728542607575646100156275838274624290184328991333803528264728162513621704210821049311441833202386346853412188363062277582424731862734549849912102818924395
SPP358Bacteria;Firmicutes;Bacilli;Lactobacillales;Lactobacillaceae;Lactobacillus;multispecies_spp358_3140000003724000000000000000400000000000001500000000000260040000000000
SPP368Bacteria;Actinobacteria;Actinomycetia;Corynebacteriales;Corynebacteriaceae;Corynebacterium;multispecies_spp368_200000000028110001628026000010000001708523970346000039006500000083000025437200313500068172
SPP369Bacteria;Firmicutes;Bacilli;Lactobacillales;Lactobacillaceae;Lactiplantibacillus;multispecies_spp369_4360827030876734860198418848812600025060703700000114000200000000000210000370028742113215994132409592225127167232715762364104332621298
SPP5Bacteria;Firmicutes;Bacilli;Bacillales;Bacillaceae;Bacillus;multispecies_spp5_7687410554331010801403700004426209005798162902000230001220950370151791160142320281404402781715049116017
SPP53Bacteria;Proteobacteria;Gammaproteobacteria;Pseudomonadales;Pseudomonadaceae;Pseudomonas;multispecies_spp53_2000000000000000000000000538000000000000000000000000000000000000000
SPP54Bacteria;Proteobacteria;Gammaproteobacteria;Enterobacterales;multifamily;multigenus;multispecies_spp54_302061258171195781470348621621845318332171021246037012825253584126072412922250357323667485411481598857723310446348642278669780255554346881462147970
SPP65Bacteria;Proteobacteria;Gammaproteobacteria;Pseudomonadales;Pseudomonadaceae;Pseudomonas;multispecies_spp65_1443036262704132327827910794432251251254200159741235510469012322212723295812148922562693204711526648813496553200501081461543
SPP66Bacteria;Firmicutes;Bacilli;Lactobacillales;Aerococcaceae;Aerococcus;multispecies_spp66_20000000000000000000000001883200000000000000000000000000000009000000
SPP81Bacteria;Proteobacteria;Gammaproteobacteria;Oceanospirillales;Halomonadaceae;Halomonas;multispecies_spp81_10840001081280011900010400006849000001320520000064073074109000661335913208829961100006701020008410125800
 
 
Download OTU Tables at Different Taxonomy Levels
PhylumCount*: Relative**: CLR***:
ClassCount*: Relative**: CLR***:
OrderCount*: Relative**: CLR***:
FamilyCount*: Relative**: CLR***:
GenusCount*: Relative**: CLR***:
SpeciesCount*: Relative**: CLR***:
* Read count
** Relative abundance (count/total sample count)
*** Centered log ratio transformed abundance
;
 
The species listed in the table has full taxonomy and a dynamically assigned species ID specific to this report. When some reads match with the reference sequences of more than one species equally (i.e., same percent identiy and alignmnet coverage), they can't be assigned to a particular species. Instead, they are assigned to multiple species with the species notaton "s__multispecies_spp2_2". In this notation, spp2 is the dynamic ID assigned to these reads that hit multiple sequences and the "_2" at the end of the notation means there are two species in the spp2.

You can look up which species are included in the multi-species assignment, in this table below:
 
 
 
 
Another type of notation is "s__multispecies_sppn2_2", in which the "n" in the sppn2 means it's a potential novel species because all the reads in this species have < 98% idenity to any of the reference sequences. They were grouped together based on de novo OTU clustering at 98% identity cutoff. And then a representative sequence was chosed to BLASTN search against the reference database to find the closest match (but will still be < 98%). This representative sequence also matched equally to more than one species, hence the "spp" was given in the label.
 
 

Taxonomy Bar Plots for All Samples

 
 

Taxonomy Bar Plots for Individual Comparison Groups

 
 
Comparison No.Comparison NameFamiliesGeneraSpecies
Comparison 1F0_9D vs F3PDFSVGPDFSVGPDFSVG
Comparison 2F3 vs F9PDFSVGPDFSVGPDFSVG
Comparison 3F0_9D vs F9PDFSVGPDFSVGPDFSVG
Comparison 4M0_9D vs M3PDFSVGPDFSVGPDFSVG
Comparison 5M3 vs M9PDFSVGPDFSVGPDFSVG
Comparison 6M0_9D vs M9PDFSVGPDFSVGPDFSVG
Comparison 7F0_9D vs M0_9DPDFSVGPDFSVGPDFSVG
Comparison 8F0_3wk vs F3wkPDFSVGPDFSVGPDFSVG
Comparison 9M0_3wk vs M3wkPDFSVGPDFSVGPDFSVG
 
 

VIII. Analysis - Alpha Diversity

 

In ecology, alpha diversity (α-diversity) is the mean species diversity in sites or habitats at a local scale. The term was introduced by R. H. Whittaker[5][6] together with the terms beta diversity (β-diversity) and gamma diversity (γ-diversity). Whittaker's idea was that the total species diversity in a landscape (gamma diversity) is determined by two different things, the mean species diversity in sites or habitats at a more local scale (alpha diversity) and the differentiation among those habitats (beta diversity).

 

References:

  1. Whittaker, R. H. (1960) Vegetation of the Siskiyou Mountains, Oregon and California. Ecological Monographs, 30, 279–338. doi:10.2307/1943563
  2. Whittaker, R. H. (1972). Evolution and Measurement of Species Diversity. Taxon, 21, 213-251. doi:10.2307/1218190

 

Alpha Diversity Analysis by Rarefaction

Diversity measures are affected by the sampling depth. Rarefaction is a technique to assess species richness from the results of sampling. Rarefaction allows the calculation of species richness for a given number of individual samples, based on the construction of so-called rarefaction curves. This curve is a plot of the number of species as a function of the number of samples. Rarefaction curves generally grow rapidly at first, as the most common species are found, but the curves plateau as only the rarest species remain to be sampled [7].


References:

  1. Willis AD. Rarefaction, Alpha Diversity, and Statistics. Front Microbiol. 2019 Oct 23;10:2407. doi: 10.3389/fmicb.2019.02407. PMID: 31708888; PMCID: PMC6819366.

 
 
 

Boxplot of Alpha-diversity Indices

The two main factors taken into account when measuring diversity are richness and evenness. Richness is a measure of the number of different kinds of organisms present in a particular area. Evenness compares the similarity of the population size of each of the species present. There are many different ways to measure the richness and evenness. These measurements are called "estimators" or "indices". Below is a diversity of 3 commonly used indices showing the values for all the samples (dots) and in groups (boxes) at the species level.

Printed on each graph is the statistical significance p values of the difference between the groups. The significance is calculated using either Kruskal-Wallis test or the Wilcoxon rank sum test, both are non-parametric methods (since microbiome read count data are considered non-normally distributed) for testing whether samples originate from the same distribution (i.e., no difference between groups). The Kruskal-Wallis test is used to compare three or more independent groups to determine if there are statistically significant differences between their medians. The Wilcoxon Rank Sum test, also known as the Mann-Whitney U test, is used to compare two independent groups to determine if there is a significant difference between their distributions.
The p-value is shown on the top of each graph. A p-value < 0.05 is considered statistically significant between/among the test groups.

 
Alpha Diversity Box Plots for All Groups - Species Level
 
 
 
 
 
 
 
 
 
Alpha Diversity Box Plots for Individual Comparisons at Species level
 
Comparison 1F0_9D vs F3View in PDFView in SVG
Comparison 2F3 vs F9View in PDFView in SVG
Comparison 3F0_9D vs F9View in PDFView in SVG
Comparison 4M0_9D vs M3View in PDFView in SVG
Comparison 5M3 vs M9View in PDFView in SVG
Comparison 6M0_9D vs M9View in PDFView in SVG
Comparison 7F0_9D vs M0_9DView in PDFView in SVG
Comparison 8F0_3wk vs F3wkView in PDFView in SVG
Comparison 9M0_3wk vs M3wkView in PDFView in SVG
 
The above comparisons are at the species-level. Comparisons of other taxonomy levels, from phylum to genus, are also available:
 
 
 

IX. Analysis - Beta Diversity

 

NMDS and PCoA Plots

Beta diversity compares the similarity (or dissimilarity) of microbial profiles between different groups of samples. There are many different similarity/dissimilarity metrics [8]. In general, they can be quantitative (using sequence abundance, e.g., Bray-Curtis or weighted UniFrac) or binary (considering only presence-absence of sequences, e.g., binary Jaccard or unweighted UniFrac). They can be even based on phylogeny (e.g., UniFrac metrics) or not (non-UniFrac metrics, such as Bray-Curtis, etc.).

For microbiome studies, species profiles of samples can be compared with the Bray-Curtis dissimilarity, which is based on the count data type. The pair-wise Bray-Curtis dissimilarity matrix of all samples can then be subject to either multi-dimensional scaling (MDS, also known as PCoA) or non-metric MDS (NMDS).

MDS/PCoA is a scaling or ordination method that starts with a matrix of similarities or dissimilarities between a set of samples and aims to produce a low-dimensional graphical plot of the data in such a way that distances between points in the plot are close to original dissimilarities.

NMDS is similar to MDS, however it does not use the dissimilarities data, instead it converts them into the ranks and use these ranks in the calculation.

References:

  1. Plantinga, AM, Wu, MC (2021). Beta Diversity and Distance-Based Analysis of Microbiome Data. In: Datta, S., Guha, S. (eds) Statistical Analysis of Microbiome Data. Frontiers in Probability and the Statistical Sciences. Springer, Cham. https://doi.org/10.1007/978-3-030-73351-3_5

In our beta diversity analysis, Bray-Curtis dissimilarity matrix was first calculated and then plotted by the PCoA and NMDS separately. Below are beta diveristy results for all groups together, at the Species level:

 
 
NMDS and PCoA Plots for All Groups - Species Level
 
 
 
 
 

The above PCoA and NMDS plots are based on count data. The count data can also be transformed into centered log ratio (CLR) for each species. The CLR data is no longer count data and cannot be used in Bray-Curtis dissimilarity calculation. Instead CLR can be compared with Euclidean distances. When CLR data are compared by Euclidean distance, the distance is also called Aitchison distance.

Below are the NMDS and PCoA plots of the Aitchison distances of the samples at the Species level:

 
 
 
 
 
 
 
NMDS and PCoA Plots for Individual Comparisons at Species level
 
 
Comparison No.Comparison NameNMDAPCoA
Bray-CurtisCLR EuclideanBray-CurtisCLR Euclidean
Comparison 1F0_9D vs F3PDFSVGPDFSVGPDFSVGPDFSVG
Comparison 2F3 vs F9PDFSVGPDFSVGPDFSVGPDFSVG
Comparison 3F0_9D vs F9PDFSVGPDFSVGPDFSVGPDFSVG
Comparison 4M0_9D vs M3PDFSVGPDFSVGPDFSVGPDFSVG
Comparison 5M3 vs M9PDFSVGPDFSVGPDFSVGPDFSVG
Comparison 6M0_9D vs M9PDFSVGPDFSVGPDFSVGPDFSVG
Comparison 7F0_9D vs M0_9DPDFSVGPDFSVGPDFSVGPDFSVG
Comparison 8F0_3wk vs F3wkPDFSVGPDFSVGPDFSVGPDFSVG
Comparison 9M0_3wk vs M3wkPDFSVGPDFSVGPDFSVGPDFSVG
 
 
 
 
 
 

Interactive 3D PCoA Plots - Bray-Curtis Dissimilarity

 
 
 

Interactive 3D PCoA Plots - Euclidean Distance

 
 
 

Interactive 3D PCoA Plots - Correlation Coefficients

 
 
 

X. Analysis - Differential Abundance

16S rRNA next generation sequencing (NGS) generates a fixed number of reads that reflect the proportion of different species in a sample, i.e., the relative abundance of species, instead of the absolute abundance. In Mathematics, measurements involving probabilities, proportions, percentages, and ppm can all be thought of as compositional data. This makes the microbiome read count data “compositional” (Gloor et al, 2017). In general, compositional data represent parts of a whole which only carry relative information [9].

The problem of microbiome data being compositional arises when comparing two groups of samples for identifying “differentially abundant” species. A species with the same absolute abundance between two conditions, its relative abundances in the two conditions (e.g., percent abundance) can become different if the relative abundance of other species change greatly. This problem can lead to incorrect conclusion in terms of differential abundance for microbial species in the samples.

When studying differential abundance (DA), the current better approach is to transform the read count data into log ratio data. The ratios are calculated between read counts of all species in a sample to a “reference” count (e.g., mean read count of the sample). The log ratio data allow the detection of DA species without being affected by percentage bias mentioned above

In this report, a compositional DA analysis tool “ANCOM” (analysis of composition of microbiomes) was used [10]. ANCOM transforms the count data into log-ratios and thus is more suitable for comparing the composition of microbiomes in two or more populations. "ANCOM" generates a table of features with W-statistics and whether the null hypothesis is rejected. The “W” is the W-statistic, or number of features that a single feature is tested to be significantly different against. Hence the higher the "W" the more statistical sifgnificant that a feature/species is differentially abundant.

References:

  1. Gloor GB, Macklaim JM, Pawlowsky-Glahn V, Egozcue JJ. Microbiome Datasets Are Compositional: And This Is Not Optional. Front Microbiol. 2017 Nov 15;8:2224. doi: 10.3389/fmicb.2017.02224. PMID: 29187837; PMCID: PMC5695134.
  2. Mandal S, Van Treuren W, White RA, Eggesbø M, Knight R, Peddada SD. Analysis of composition of microbiomes: a novel method for studying microbial composition. Microb Ecol Health Dis. 2015 May 29;26:27663. doi: 10.3402/mehd.v26.27663. PMID: 26028277; PMCID: PMC4450248.
 
 

ANCOM Differential Abundance Analysis

 
ANCOM Results for Individual Comparisons
Comparison No.Comparison Name
Comparison 1.F0_9D vs F3
Comparison 2.F3 vs F9
Comparison 3.F0_9D vs F9
Comparison 4.M0_9D vs M3
Comparison 5.M3 vs M9
Comparison 6.M0_9D vs M9
Comparison 7.F0_9D vs M0_9D
Comparison 8.F0_3wk vs F3wk
Comparison 9.M0_3wk vs M3wk
 
 

ANCOM-BC2 Differential Abundance Analysis

 

Starting with version V1.2, we include the results of ANCOM-BC (Analysis of Compositions of Microbiomes with Bias Correction) (Lin and Peddada 2020) [11]. ANCOM-BC is an updated version of "ANCOM" that:
(a) provides statistically valid test with appropriate p-values,
(b) provides confidence intervals for differential abundance of each taxon,
(c) controls the False Discovery Rate (FDR),
(d) maintains adequate power, and
(e) is computationally simple to implement.

The bias correction (BC) addresses a challenging problem of the bias introduced by differences in the sampling fractions across samples. This bias has been a major hurdle in performing DA analysis of microbiome data. ANCOM-BC estimates the unknown sampling fractions and corrects the bias induced by their differences among samples. The absolute abundance data are modeled using a linear regression framework.

Starting with version V1.43, ANCOM-BC2 is used instead of ANCOM-BC, So that multiple pairwise directional test can be performed (if there are more than two gorups in a comparison). When performing pairwise directional test, the mixed directional false discover rate (mdFDR) is taken into account. The mdFDR is the combination of false discovery rate due to multiple testing, multiple pairwise comparisons, and directional tests within each pairwise comparison. The mdFDR is adopted from (Guo, Sarkar, and Peddada 2010 [12]; Grandhi, Guo, and Peddada 2016 [13]). For more detail explanation and additional features of ANCOM-BC2 please see author's documentation.

References:

  1. Lin H, Peddada SD. Analysis of compositions of microbiomes with bias correction. Nat Commun. 2020 Jul 14;11(1):3514. doi: 10.1038/s41467-020-17041-7. PMID: 32665548; PMCID: PMC7360769.
  2. Guo W, Sarkar SK, Peddada SD. Controlling false discoveries in multidimensional directional decisions, with applications to gene expression data on ordered categories. Biometrics. 2010 Jun;66(2):485-92. doi: 10.1111/j.1541-0420.2009.01292.x. Epub 2009 Jul 23. PMID: 19645703; PMCID: PMC2895927.
  3. Grandhi A, Guo W, Peddada SD. A multiple testing procedure for multi-dimensional pairwise comparisons with application to gene expression studies. BMC Bioinformatics. 2016 Feb 25;17:104. doi: 10.1186/s12859-016-0937-5. PMID: 26917217; PMCID: PMC4768411.
 
 
ANCOM-BC Results for Individual Comparisons
 
Comparison No.Comparison Name
Comparison 1.F0_9D vs F3
Comparison 2.F3 vs F9
Comparison 3.F0_9D vs F9
Comparison 4.M0_9D vs M3
Comparison 5.M3 vs M9
Comparison 6.M0_9D vs M9
Comparison 7.F0_9D vs M0_9D
Comparison 8.F0_3wk vs F3wk
Comparison 9.M0_3wk vs M3wk
 
 
 
 
 

LEfSe - Linear Discriminant Analysis Effect Size

LEfSe (Linear Discriminant Analysis Effect Size) is an alternative method to find "organisms, genes, or pathways that consistently explain the differences between two or more microbial communities" (Segata et al., 2011) [14]. Specifically, LEfSe uses rank-based Kruskal-Wallis (KW) sum-rank test to detect features with significant differential (relative) abundance with respect to the class of interest. Since it is rank-based, instead of proportional based, the differential species identified among the comparison groups is less biased (than percent abundance based).

Reference:

  1. Segata N, Izard J, Waldron L, Gevers D, Miropolsky L, Garrett WS, Huttenhower C. Metagenomic biomarker discovery and explanation. Genome Biol. 2011 Jun 24;12(6):R60. doi: 10.1186/gb-2011-12-6-r60. PMID: 21702898; PMCID: PMC3218848.
 
F0_9D vs F3
 
 
 
 
 
 
 
LEfSe Results for All Comparisons
 
Comparison No.Comparison Name
Comparison 1.F0_9D vs F3
Comparison 2.F3 vs F9
Comparison 3.F0_9D vs F9
Comparison 4.M0_9D vs M3
Comparison 5.M3 vs M9
Comparison 6.M0_9D vs M9
Comparison 7.F0_9D vs M0_9D
Comparison 8.F0_3wk vs F3wk
Comparison 9.M0_3wk vs M3wk
 
 

XI. Analysis - Heatmap Profile

 

Species vs Sample Abundance Heatmap for All Samples

 
 
 

Heatmaps for Individual Comparisons

 
A) Two-way clustering - clustered on both columns (Samples) and rows (organism)
Comparison No.Comparison NameFamily LevelGenus LevelSpecies Level
Comparison 1F0_9D vs F3PDFSVGPDFSVGPDFSVG
Comparison 2F3 vs F9PDFSVGPDFSVGPDFSVG
Comparison 3F0_9D vs F9PDFSVGPDFSVGPDFSVG
Comparison 4M0_9D vs M3PDFSVGPDFSVGPDFSVG
Comparison 5M3 vs M9PDFSVGPDFSVGPDFSVG
Comparison 6M0_9D vs M9PDFSVGPDFSVGPDFSVG
Comparison 7F0_9D vs M0_9DPDFSVGPDFSVGPDFSVG
Comparison 8F0_3wk vs F3wkPDFSVGPDFSVGPDFSVG
Comparison 9M0_3wk vs M3wkPDFSVGPDFSVGPDFSVG
 
 
B) One-way clustering - clustered on rows (organism) only
Comparison No.Comparison NameFamily LevelGenus LevelSpecies Level
Comparison 1F0_9D vs F3PDFSVGPDFSVGPDFSVG
Comparison 2F3 vs F9PDFSVGPDFSVGPDFSVG
Comparison 3F0_9D vs F9PDFSVGPDFSVGPDFSVG
Comparison 4M0_9D vs M3PDFSVGPDFSVGPDFSVG
Comparison 5M3 vs M9PDFSVGPDFSVGPDFSVG
Comparison 6M0_9D vs M9PDFSVGPDFSVGPDFSVG
Comparison 7F0_9D vs M0_9DPDFSVGPDFSVGPDFSVG
Comparison 8F0_3wk vs F3wkPDFSVGPDFSVGPDFSVG
Comparison 9M0_3wk vs M3wkPDFSVGPDFSVGPDFSVG
 
 
C) No clustering
Comparison No.Comparison NameFamily LevelGenus LevelSpecies Level
Comparison 1F0_9D vs F3PDFSVGPDFSVGPDFSVG
Comparison 2F3 vs F9PDFSVGPDFSVGPDFSVG
Comparison 3F0_9D vs F9PDFSVGPDFSVGPDFSVG
Comparison 4M0_9D vs M3PDFSVGPDFSVGPDFSVG
Comparison 5M3 vs M9PDFSVGPDFSVGPDFSVG
Comparison 6M0_9D vs M9PDFSVGPDFSVGPDFSVG
Comparison 7F0_9D vs M0_9DPDFSVGPDFSVGPDFSVG
Comparison 8F0_3wk vs F3wkPDFSVGPDFSVGPDFSVG
Comparison 9M0_3wk vs M3wkPDFSVGPDFSVGPDFSVG
 
 

XII. Analysis - Network Association

To analyze the co-occurrence or co-exclusion between microbial species among different samples, network correlation analysis tools are usually used for this purpose. However, microbiome count data are compositional. If count data are normalized to the total number of counts in the sample, the data become not independent and traditional statistical metrics (e.g., correlation) for the detection of specie-species relationships can lead to spurious results. In addition, sequencing-based studies typically measure hundreds of OTUs (species) on few samples; thus, inference of OTU-OTU association networks is severely under-powered. We provide the network association result with SparCC (Sparse Correlations for Compositional data)(Friedman & Alm 2012), which is a method for inferring correlations from compositional data. SparCC estimates the linear Pearson correlations between the log-transformed components.


References:

Friedman J, Alm EJ. Inferring correlation networks from genomic survey data. PLoS Comput Biol. 2012;8(9):e1002687. doi: 10.1371/journal.pcbi.1002687. Epub 2012 Sep 20. PMID: 23028285; PMCID: PMC3447976.

 

Association Network Inference by SparCC

 

 

 
 

XIII. Disclaimer

The results of this analysis are for research purpose only. They are not intended to diagnose, treat, cure, or prevent any disease. Forsyth and FOMC are not responsible for use of information provided in this report outside the research area.

 

Copyright FOMC 2025