FOMC Service Report

16S rRNA Gene V1V3 Amplicon Sequencing

Version V1.52

Version History

The Forsyth Institute, Cambridge, MA, USA
January 12, 2026

Project ID: FOMC28297


";

I. Project Summary

Project FOMC28297 services include NGS sequencing of the V1V3 region of the 16S rRNA gene amplicons from the samples. First and foremost, please download this report, as well as the sequence raw data from the download links provided below. These links will expire after 60 days. We cannot guarantee the availability of your data after 60 days.

Full Bioinformatics analysis service was requested. We provide many analyses, starting from the raw sequence quality and noise filtering, pair reads merging, as well as chimera filtering for the sequences, using the DADA2 denosing algorithm and pipeline.

We also provide many downstream analyses such as taxonomy assignment, alpha and beta diversity analyses, and differential abundance analysis.

For taxonomy assignment, most informative would be the taxonomy barplots. We provide an interactive barplots to show the relative abundance of microbes at different taxonomy levels (from Phylum to species) that you can choose.

If you specify which groups of samples you want to compare for differential abundance, we provide both ANCOM and LEfSe differential abundance analysis.

 

II. Workflow Checklist

1.Sample Received
2.Sample Quality Evaluated
3.Sample Prepared for Sequencing
4.Next-Gen Sequencing
5.Sequence Quality Check
6.Absolute Abundance
7.Report and Raw Sequence Data Available for Download
8.Bioinformatics Analysis - Reads Processing (DADA2 Quality Trimming, Denoising, Paired Reads Merging)
9.Bioinformatics Analysis - Reads Taxonomy Assignment
10.Bioinformatics Analysis - Alpha Diversity Analysis
11.Bioinformatics Analysis - Beta Diversity Analysis
12.Bioinformatics Analysis - Differential Abundance Analysis
13.Bioinformatics Analysis - Heatmap Profile
14.Bioinformatics Analysis - Network Association
 

III. NGS Sequencing

The samples were processed and analyzed with the ZymoBIOMICS® Service: Targeted Metagenomic Sequencing (Zymo Research, Irvine, CA).

DNA Extraction: If DNA extraction was performed, the following DNA extraction kit was used according to the manufacturer’s instructions:

ZymoBIOMICS®-96 MagBead DNA Kit (Zymo Research, Irvine, CA)
N/A (DNA Extraction Not Performed)
Elution Volume: 50µL
Additional Notes: NA

Targeted Library Preparation: The DNA samples were prepared for targeted sequencing with the Quick-16S™ NGS Library Prep Kit (Zymo Research, Irvine, CA). These primers were custom designed by Zymo Research to provide the best coverage of the 16S gene while maintaining high sensitivity. The primer sets used in this project are marked below:

Quick-16S™ Primer Set V1-V2 (Zymo Research, Irvine, CA)
Quick-16S™ Primer Set V1-V3 (Zymo Research, Irvine, CA)
Quick-16S™ Primer Set V3-V4 (Zymo Research, Irvine, CA)
Quick-16S™ Primer Set V4 (Zymo Research, Irvine, CA)
Quick-16S™ Primer Set V6-V8 (Zymo Research, Irvine, CA)
Additional Notes: NA

The sequencing library was prepared using an innovative library preparation process in which PCR reactions were performed in real-time PCR machines to control cycles and therefore limit PCR chimera formation. The final PCR products were quantified with qPCR fluorescence readings and pooled together based on equal molarity. The final pooled library was cleaned up with the Select-a-Size DNA Clean & Concentrator™ (Zymo Research, Irvine, CA), then quantified with TapeStation® (Agilent Technologies, Santa Clara, CA) and Qubit® (Thermo Fisher Scientific, Waltham, WA).

Control Samples: The ZymoBIOMICS® Microbial Community Standard (Zymo Research, Irvine, CA) was used as a positive control for each DNA extraction, if performed. The ZymoBIOMICS® Microbial Community DNA Standard (Zymo Research, Irvine, CA) was used as a positive control for each targeted library preparation. Negative controls (i.e. blank extraction control, blank library preparation control) were included to assess the level of bioburden carried by the wet-lab process.

Sequencing: The final library was sequenced on Illumina® NextSeq 2000™ with a p1 (Illumina, Sand Diego, CA) reagent kit (600 cycles). The sequencing was performed with 25% PhiX spike-in.

Absolute Abundance Quantification*: A quantitative real-time PCR was set up with a standard curve. The standard curve was made with plasmid DNA containing one copy of the 16S gene and one copy of the fungal ITS2 region prepared in 10-fold serial dilutions. The primers used were the same as those used in Targeted Library Preparation. The equation generated by the plasmid DNA standard curve was used to calculate the number of gene copies in the reaction for each sample. The PCR input volume (2 µl) was used to calculate the number of gene copies per microliter in each DNA sample.
The number of genome copies per microliter DNA sample was calculated by dividing the gene copy number by an assumed number of gene copies per genome. The value used for 16S copies per genome is 4. The value used for ITS copies per genome is 200. The amount of DNA per microliter DNA sample was calculated using an assumed genome size of 4.64 x 106 bp, the genome size of Escherichia coli, for 16S samples, or an assumed genome size of 1.20 x 107 bp, the genome size of Saccharomyces cerevisiae, for ITS samples. This calculation is shown below:

Calculated Total DNA = Calculated Total Genome Copies × Assumed Genome Size (4.64 × 106 bp) ×
Average Molecular Weight of a DNA bp (660 g/mole/bp) ÷ Avogadro’s Number (6.022 x 1023/mole)


* Absolute Abundance Quantification is only available for 16S and ITS analyses.

The absolute abundance standard curve data can be viewed in Excel here:

The absolute abundance standard curve is shown below:

Absolute Abundance Standard Curve

 

IV. Complete Report Download

The complete report of your project, including all links in this report, can be downloaded by clicking the link provided below. The downloaded file is a compressed ZIP file and once unzipped, open the file “REPORT.html” (may only shown as "REPORT" in your computer) by double clicking it. Your default web browser will open it and you will see the exact content of this report.

Please download and save the file to your computer storage device. The download link will expire after 60 days upon your receiving of this report.

Complete report download link:

To view the report, please follow the following steps:

1.Download the .zip file from the report link above.
2.Extract all the contents of the downloaded .zip file to your desktop.
3.Open the extracted folder and find the "REPORT.html" (may shown as only "REPORT").
4.Open (double-clicking) the REPORT.html file. Your default browser will open the top age of the complete report. Within the report, there are links to view all the analyses performed for the project.

 

V. Raw Sequence Data Download

The raw NGS sequence data is available for download with the link provided below. The data is a compressed ZIP file and can be unzipped to individual sequence files. Since this is a Pac-Bio full-length (V1V9) 16S rRNA amplicon sequencing, raw sequences are available for download in a single compressed zip file in the download link below. After unzipping, you will find individual sequence files for each of your samples with the file extension “*.fastq.gz”. The files are in FASTQ format and are compressed. FASTQ format is a text-based data format for storing both a biological sequence and its corresponding quality scores. Most sequence analysis software will be able to open them. The Sample IDs associated with the fastq files are listed in the table below:

Sample IDOriginal Sample IDRead 1 File NameRead 2 File Name
F28297.S10original sample ID herezr28297_10V1V3_R1.fastq.gzzr28297_10V1V3_R2.fastq.gz
F28297.S11original sample ID herezr28297_11V1V3_R1.fastq.gzzr28297_11V1V3_R2.fastq.gz
F28297.S12original sample ID herezr28297_12V1V3_R1.fastq.gzzr28297_12V1V3_R2.fastq.gz
F28297.S13original sample ID herezr28297_13V1V3_R1.fastq.gzzr28297_13V1V3_R2.fastq.gz
F28297.S14original sample ID herezr28297_14V1V3_R1.fastq.gzzr28297_14V1V3_R2.fastq.gz
F28297.S15original sample ID herezr28297_15V1V3_R1.fastq.gzzr28297_15V1V3_R2.fastq.gz
F28297.S16original sample ID herezr28297_16V1V3_R1.fastq.gzzr28297_16V1V3_R2.fastq.gz
F28297.S17original sample ID herezr28297_17V1V3_R1.fastq.gzzr28297_17V1V3_R2.fastq.gz
F28297.S18original sample ID herezr28297_18V1V3_R1.fastq.gzzr28297_18V1V3_R2.fastq.gz
F28297.S19original sample ID herezr28297_19V1V3_R1.fastq.gzzr28297_19V1V3_R2.fastq.gz
F28297.S01original sample ID herezr28297_1V1V3_R1.fastq.gzzr28297_1V1V3_R2.fastq.gz
F28297.S20original sample ID herezr28297_20V1V3_R1.fastq.gzzr28297_20V1V3_R2.fastq.gz
F28297.S21original sample ID herezr28297_21V1V3_R1.fastq.gzzr28297_21V1V3_R2.fastq.gz
F28297.S22original sample ID herezr28297_22V1V3_R1.fastq.gzzr28297_22V1V3_R2.fastq.gz
F28297.S23original sample ID herezr28297_23V1V3_R1.fastq.gzzr28297_23V1V3_R2.fastq.gz
F28297.S24original sample ID herezr28297_24V1V3_R1.fastq.gzzr28297_24V1V3_R2.fastq.gz
F28297.S25original sample ID herezr28297_25V1V3_R1.fastq.gzzr28297_25V1V3_R2.fastq.gz
F28297.S26original sample ID herezr28297_26V1V3_R1.fastq.gzzr28297_26V1V3_R2.fastq.gz
F28297.S27original sample ID herezr28297_27V1V3_R1.fastq.gzzr28297_27V1V3_R2.fastq.gz
F28297.S28original sample ID herezr28297_28V1V3_R1.fastq.gzzr28297_28V1V3_R2.fastq.gz
F28297.S29original sample ID herezr28297_29V1V3_R1.fastq.gzzr28297_29V1V3_R2.fastq.gz
F28297.S02original sample ID herezr28297_2V1V3_R1.fastq.gzzr28297_2V1V3_R2.fastq.gz
F28297.S30original sample ID herezr28297_30V1V3_R1.fastq.gzzr28297_30V1V3_R2.fastq.gz
F28297.S31original sample ID herezr28297_31V1V3_R1.fastq.gzzr28297_31V1V3_R2.fastq.gz
F28297.S32original sample ID herezr28297_32V1V3_R1.fastq.gzzr28297_32V1V3_R2.fastq.gz
F28297.S33original sample ID herezr28297_33V1V3_R1.fastq.gzzr28297_33V1V3_R2.fastq.gz
F28297.S34original sample ID herezr28297_34V1V3_R1.fastq.gzzr28297_34V1V3_R2.fastq.gz
F28297.S35original sample ID herezr28297_35V1V3_R1.fastq.gzzr28297_35V1V3_R2.fastq.gz
F28297.S36original sample ID herezr28297_36V1V3_R1.fastq.gzzr28297_36V1V3_R2.fastq.gz
F28297.S37original sample ID herezr28297_37V1V3_R1.fastq.gzzr28297_37V1V3_R2.fastq.gz
F28297.S38original sample ID herezr28297_38V1V3_R1.fastq.gzzr28297_38V1V3_R2.fastq.gz
F28297.S39original sample ID herezr28297_39V1V3_R1.fastq.gzzr28297_39V1V3_R2.fastq.gz
F28297.S03original sample ID herezr28297_3V1V3_R1.fastq.gzzr28297_3V1V3_R2.fastq.gz
F28297.S40original sample ID herezr28297_40V1V3_R1.fastq.gzzr28297_40V1V3_R2.fastq.gz
F28297.S41original sample ID herezr28297_41V1V3_R1.fastq.gzzr28297_41V1V3_R2.fastq.gz
F28297.S42original sample ID herezr28297_42V1V3_R1.fastq.gzzr28297_42V1V3_R2.fastq.gz
F28297.S43original sample ID herezr28297_43V1V3_R1.fastq.gzzr28297_43V1V3_R2.fastq.gz
F28297.S44original sample ID herezr28297_44V1V3_R1.fastq.gzzr28297_44V1V3_R2.fastq.gz
F28297.S45original sample ID herezr28297_45V1V3_R1.fastq.gzzr28297_45V1V3_R2.fastq.gz
F28297.S46original sample ID herezr28297_46V1V3_R1.fastq.gzzr28297_46V1V3_R2.fastq.gz
F28297.S47original sample ID herezr28297_47V1V3_R1.fastq.gzzr28297_47V1V3_R2.fastq.gz
F28297.S48original sample ID herezr28297_48V1V3_R1.fastq.gzzr28297_48V1V3_R2.fastq.gz
F28297.S04original sample ID herezr28297_4V1V3_R1.fastq.gzzr28297_4V1V3_R2.fastq.gz
F28297.S05original sample ID herezr28297_5V1V3_R1.fastq.gzzr28297_5V1V3_R2.fastq.gz
F28297.S06original sample ID herezr28297_6V1V3_R1.fastq.gzzr28297_6V1V3_R2.fastq.gz
F28297.S07original sample ID herezr28297_7V1V3_R1.fastq.gzzr28297_7V1V3_R2.fastq.gz
F28297.S08original sample ID herezr28297_8V1V3_R1.fastq.gzzr28297_8V1V3_R2.fastq.gz
F28297.S09original sample ID herezr28297_9V1V3_R1.fastq.gzzr28297_9V1V3_R2.fastq.gz

Please download and save the file to your computer storage device. The download link will expire after 60 days upon your receiving of this report.

Raw sequence data download link:

 

VI. Analysis - DADA2 Read Processing

What is DADA2?

DADA2 is a software package that models and corrects Illumina-sequenced amplicon errors [1]. DADA2 infers sample sequences exactly, without coarse-graining into OTUs, and resolves differences of as little as one nucleotide. DADA2 identified more real variants and output fewer spurious sequences than other methods.

DADA2’s advantage is that it uses more of the data. The DADA2 error model incorporates quality information, which is ignored by all other methods after filtering. The DADA2 error model incorporates quantitative abundances, whereas most other methods use abundance ranks if they use abundance at all. The DADA2 error model identifies the differences between sequences, eg. A->C, whereas other methods merely count the mismatches. DADA2 can parameterize its error model from the data itself, rather than relying on previous datasets that may or may not reflect the PCR and sequencing protocols used in your study.

DADA2 Software Package is available as an R package at : https://benjjneb.github.io/dada2/index.html

References

  1. Callahan BJ, McMurdie PJ, Rosen MJ, Han AW, Johnson AJ, Holmes SP. DADA2: High-resolution sample inference from Illumina amplicon data. Nat Methods. 2016 Jul;13(7):581-3. doi: 10.1038/nmeth.3869. Epub 2016 May 23. PMID: 27214047; PMCID: PMC4927377.

Analysis Procedures:

DADA2 pipeline includes several tools for read quality control, including quality filtering, trimming, denoising, pair merging and chimera filtering. Below are the major processing steps of DADA2:

Step 1. Read trimming based on sequence quality The quality of NGS Illumina sequences often decreases toward the end of the reads. DADA2 allows to trim off the poor quality read ends in order to improve the error model building and pair mergicing performance.

Step 2. Learn the Error Rates The DADA2 algorithm makes use of a parametric error model (err) and every amplicon dataset has a different set of error rates. The learnErrors method learns this error model from the data, by alternating estimation of the error rates and inference of sample composition until they converge on a jointly consistent solution. As in many machine-learning problems, the algorithm must begin with an initial guess, for which the maximum possible error rates in this data are used (the error rates if only the most abundant sequence is correct and all the rest are errors).

Step 3. Infer amplicon sequence variants (ASVs) based on the error model built in previous step. This step is also called sequence "denoising". The outcome of this step is a list of ASVs that are the equivalent of oligonucleotides.

Step 4. Merge paired reads. If the sequencing products are read pairs, DADA2 will merge the R1 and R2 ASVs into single sequences. Merging is performed by aligning the denoised forward reads with the reverse-complement of the corresponding denoised reverse reads, and then constructing the merged “contig” sequences. By default, merged sequences are only output if the forward and reverse reads overlap by at least 12 bases, and are identical to each other in the overlap region (but these conditions can be changed via function arguments).

Step 5. Remove chimera. The core dada method corrects substitution and indel errors, but chimeras remain. Fortunately, the accuracy of sequence variants after denoising makes identifying chimeric ASVs simpler than when dealing with fuzzy OTUs. Chimeric sequences are identified if they can be exactly reconstructed by combining a left-segment and a right-segment from two more abundant “parent” sequences. The frequency of chimeric sequences varies substantially from dataset to dataset, and depends on on factors including experimental procedures and sample complexity.

Results

1. Read Quality Plots NGS sequence analaysis starts with visualizing the quality of the sequencing. Below are the quality plots of the first sample for the R1 and R2 reads separately. In gray-scale is a heat map of the frequency of each quality score at each base position. The mean quality score at each position is shown by the green line, and the quartiles of the quality score distribution by the orange lines. The forward reads are usually of better quality. It is a common practice to trim the last few nucleotides to avoid less well-controlled errors that can arise there. The trimming affects the downstream steps including error model building, merging and chimera calling. FOMC uses an empirical approach to test many combinations of different trim length in order to achieve best final amplicon sequence variants (ASVs), see the next section “Optimal trim length for ASVs”.

Quality plots for all samples:

2. Optimal trim length for ASVs The final number of merged and chimera-filtered ASVs depends on the quality filtering (hence trimming) in the very beginning of the DADA2 pipeline. In order to achieve highest number of ASVs, an empirical approach was used -

  1. Create a random subset of each sample consisting of 5,000 R1 and 5,000 R2 (to reduce computation time)
  2. Trim 10 bases at a time from the ends of both R1 and R2 up to 50 bases
  3. For each combination of trimmed length (e.g., 300x300, 300x290, 290x290 etc), the trimmed reads are subject to the entire DADA2 pipeline for chimera-filtered merged ASVs
  4. The combination with highest percentage of the input reads becoming final ASVs is selected for the complete set of data

Below is the result of such operation, showing ASV percentages of total reads for all trimming combinations (1st Column = R1 lengths in bases; 1st Row = R2 lengths in bases):

R1/R2301291281271261251
30154.61%56.58%57.22%59.45%60.55%56.29%
29154.61%56.61%57.22%59.54%53.88%33.38%
28155.37%57.53%58.12%53.33%33.26%11.45%
27157.87%60.08%53.57%34.31%11.08%8.09%
26158.50%53.69%34.06%11.04%7.92%5.01%
25154.12%33.86%11.11%8.06%4.86%3.75%

Based on the above result, the trim length combination of R1 = 301 bases and R2 = 261 bases (highlighted red above), was chosen for generating final ASVs for all sequences. This combination generated highest number of merged non-chimeric ASVs and was used for downstream analyses, if requested.

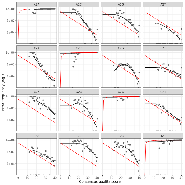
3. Error plots from learning the error rates After DADA2 building the error model for the set of data, it is always worthwhile, as a sanity check if nothing else, to visualize the estimated error rates. The error rates for each possible transition (A→C, A→G, …) are shown below. Points are the observed error rates for each consensus quality score. The black line shows the estimated error rates after convergence of the machine-learning algorithm. The red line shows the error rates expected under the nominal definition of the Q-score. The ideal result would be the estimated error rates (black line) are a good fit to the observed rates (points), and the error rates drop with increased quality as expected.

Forward Read R1 Error Plot


Reverse Read R2 Error Plot

The PDF version of these plots are available here:

 

4. DADA2 Result Summary The table below shows the summary of the DADA2 analysis, tracking paired read counts of each samples for all the steps during DADA2 denoising process - including end-trimming (filtered), denoising (denoisedF, denoisedF), pair merging (merged) and chimera removal (nonchim).

Sample IDF28297.S01F28297.S02F28297.S03F28297.S04F28297.S05F28297.S06F28297.S07F28297.S08F28297.S09F28297.S10F28297.S11F28297.S12F28297.S13F28297.S14F28297.S15F28297.S16F28297.S17F28297.S18F28297.S19F28297.S20F28297.S21F28297.S22F28297.S23F28297.S24F28297.S25F28297.S26F28297.S27F28297.S28F28297.S29F28297.S30F28297.S31F28297.S32F28297.S33F28297.S34F28297.S35F28297.S36F28297.S37F28297.S38F28297.S39F28297.S40F28297.S41F28297.S42F28297.S43F28297.S44F28297.S45F28297.S46F28297.S47F28297.S48Row SumPercentage
input155,841239,033193,149148,431151,925194,319167,990181,151146,896162,750157,373154,296160,702144,411175,803212,190160,350148,562150,166163,379188,484216,797189,576193,259138,752217,516166,469201,320193,581178,939158,168147,218134,609159,928176,229206,108159,013165,502155,150159,329191,620161,053148,142164,408236,837208,279186,608187,1038,358,714100.00%
filtered132,495204,494165,124126,067130,416165,832142,710154,321124,552138,705134,113131,150137,102123,109149,955181,376137,305126,850127,685139,371160,392185,591161,928165,289117,995185,009142,695171,831164,971152,316134,659125,015114,721136,030149,856175,545135,570140,398131,769136,251163,832137,099126,302139,430201,917178,123158,312159,9697,125,54785.25%
denoisedF130,689201,767162,735124,137128,267163,249140,620151,705122,671136,388131,834128,960135,056121,250147,682178,825135,429124,888125,835137,732158,307183,027159,630163,369116,619183,053141,247170,144163,091150,914133,236123,620113,277134,499148,154173,397134,400138,989130,516134,943162,324136,018124,995138,057200,215176,535156,926158,3527,037,57384.19%
denoisedR126,990195,624158,116119,301124,100158,041136,633147,501119,018132,328128,010124,997130,507116,978142,588172,101130,395121,014121,881133,067153,096178,335154,982157,936113,700179,013137,883164,989158,864147,088128,913119,859110,130130,238143,866169,088130,913134,529127,323131,707158,678132,199121,836134,397195,421171,760152,045154,0456,832,02381.74%
merged116,957179,379143,808108,263112,050143,733124,528133,207108,409120,561115,754113,057118,417106,118128,339156,610118,528109,026109,876122,002139,115163,272141,776145,563105,238167,109129,721152,882147,761137,128118,924111,446102,055120,218133,614158,044123,382125,721119,536124,183149,761124,604114,022125,508184,807161,991142,347144,0036,302,35375.40%
nonchim104,475152,177120,29194,46496,907126,523109,132110,16794,652105,05097,73697,874104,78194,548107,752137,410103,66892,21591,805110,500120,153145,399119,703131,06993,778139,310114,242126,145125,770114,519106,724100,36391,503106,495118,567143,314107,838107,34499,923108,586127,810109,103103,419110,757166,869143,721129,613129,2225,493,38665.72%

This table can be downloaded as an Excel table below:

 

5. DADA2 Amplicon Sequence Variants (ASVs). A total of 4062 unique merged and chimera-free ASV sequences were identified, and their corresponding read counts for each sample are available in the "ASV Read Count Table" with rows for the ASV sequences and columns for sample. This read count table can be used for microbial profile comparison among different samples and the sequences provided in the table can be used to taxonomy assignment.

 

The table can be downloaded from this link:

 
 

Sample Meta Information

Download Sample Meta Information
#SampleIDSample_NameDayRepeatSourceTypeGroupSource_Type
F28297.S01Day1.Rep1.S.KDay1Rep1SalivaKDay1_Saliva_KSaliva_K
F28297.S02Day1.Rep2.S.KDay1Rep2SalivaKDay1_Saliva_KSaliva_K
F28297.S03Day1.Rep3.S.KDay1Rep3SalivaKDay1_Saliva_KSaliva_K
F28297.S04Day1.Rep4.S.KDay1Rep4SalivaKDay1_Saliva_KSaliva_K
F28297.S05Day1.Rep5.S.KDay1Rep5SalivaKDay1_Saliva_KSaliva_K
F28297.S06Day1.Rep6.S.KDay1Rep6SalivaKDay1_Saliva_KSaliva_K
F28297.S07Day1.Rep1.S.MDay1Rep1SalivaMDay1_Saliva_MSaliva_M
F28297.S08Day1.Rep2.S.MDay1Rep2SalivaMDay1_Saliva_MSaliva_M
F28297.S09Day1.Rep3.S.MDay1Rep3SalivaMDay1_Saliva_MSaliva_M
F28297.S10Day1.Rep4.S.MDay1Rep4SalivaMDay1_Saliva_MSaliva_M
F28297.S11Day1.Rep5.S.MDay1Rep5SalivaMDay1_Saliva_MSaliva_M
F28297.S12Day1.Rep6.S.MDay1Rep6SalivaMDay1_Saliva_MSaliva_M
F28297.S13Day2.Rep1.S.KDay2Rep1SalivaKDay2_Saliva_KSaliva_K
F28297.S14Day2.Rep2.S.KDay2Rep2SalivaKDay2_Saliva_KSaliva_K
F28297.S15Day2.Rep3.S.KDay2Rep3SalivaKDay2_Saliva_KSaliva_K
F28297.S16Day2.Rep4.S.KDay2Rep4SalivaKDay2_Saliva_KSaliva_K
F28297.S17Day2.Rep5.S.KDay2Rep5SalivaKDay2_Saliva_KSaliva_K
F28297.S18Day2.Rep6.S.KDay2Rep6SalivaKDay2_Saliva_KSaliva_K
F28297.S19Day2.Rep1.S.MDay2Rep1SalivaMDay2_Saliva_MSaliva_M
F28297.S20Day2.Rep2.S.MDay2Rep2SalivaMDay2_Saliva_MSaliva_M
F28297.S21Day2.Rep3.S.MDay2Rep3SalivaMDay2_Saliva_MSaliva_M
F28297.S22Day2.Rep4.S.MDay2Rep4SalivaMDay2_Saliva_MSaliva_M
F28297.S23Day2.Rep5.S.MDay2Rep5SalivaMDay2_Saliva_MSaliva_M
F28297.S24Day2.Rep6.S.MDay2Rep6SalivaMDay2_Saliva_MSaliva_M
F28297.S25Day1.Rep1.B.KDay1Rep1BiofilmKDay1_Biofilm_KBiofilm_K
F28297.S26Day1.Rep2.B.KDay1Rep2BiofilmKDay1_Biofilm_KBiofilm_K
F28297.S27Day1.Rep3.B.KDay1Rep3BiofilmKDay1_Biofilm_KBiofilm_K
F28297.S28Day1.Rep4.B.KDay1Rep4BiofilmKDay1_Biofilm_KBiofilm_K
F28297.S29Day1.Rep5.B.KDay1Rep5BiofilmKDay1_Biofilm_KBiofilm_K
F28297.S30Day1.Rep6.B.KDay1Rep6BiofilmKDay1_Biofilm_KBiofilm_K
F28297.S31Day1.Rep1.B.MDay1Rep1BiofilmMDay1_Biofilm_MBiofilm_M
F28297.S32Day1.Rep2.B.MDay1Rep2BiofilmMDay1_Biofilm_MBiofilm_M
F28297.S33Day1.Rep3.B.MDay1Rep3BiofilmMDay1_Biofilm_MBiofilm_M
F28297.S34Day1.Rep4.B.MDay1Rep4BiofilmMDay1_Biofilm_MBiofilm_M
F28297.S35Day1.Rep5.B.MDay1Rep5BiofilmMDay1_Biofilm_MBiofilm_M
F28297.S36Day1.Rep6.B.MDay1Rep6BiofilmMDay1_Biofilm_MBiofilm_M
F28297.S37Day2.Rep1.B.KDay2Rep1BiofilmKDay2_Biofilm_KBiofilm_K
F28297.S38Day2.Rep2.B.KDay2Rep2BiofilmKDay2_Biofilm_KBiofilm_K
F28297.S39Day2.Rep3.B.KDay2Rep3BiofilmKDay2_Biofilm_KBiofilm_K
F28297.S40Day2.Rep4.B.KDay2Rep4BiofilmKDay2_Biofilm_KBiofilm_K
F28297.S41Day2.Rep5.B.KDay2Rep5BiofilmKDay2_Biofilm_KBiofilm_K
F28297.S42Day2.Rep6.B.KDay2Rep6BiofilmKDay2_Biofilm_KBiofilm_K
F28297.S43Day2.Rep1.B.MDay2Rep1BiofilmMDay2_Biofilm_MBiofilm_M
F28297.S44Day2.Rep2.B.MDay2Rep2BiofilmMDay2_Biofilm_MBiofilm_M
F28297.S45Day2.Rep3.B.MDay2Rep3BiofilmMDay2_Biofilm_MBiofilm_M
F28297.S46Day2.Rep4.B.MDay2Rep4BiofilmMDay2_Biofilm_MBiofilm_M
F28297.S47Day2.Rep5.B.MDay2Rep5BiofilmMDay2_Biofilm_MBiofilm_M
F28297.S48Day2.Rep6.B.MDay2Rep6BiofilmMDay2_Biofilm_MBiofilm_M
 
 

ASV Read Counts by Samples

#Sample IDRead Count
F28297.S3391,503
F28297.S1991,805
F28297.S1892,215
F28297.S2593,778
F28297.S0494,464
F28297.S1494,548
F28297.S0994,652
F28297.S0596,907
F28297.S1197,736
F28297.S1297,874
F28297.S3999,923
F28297.S32100,363
F28297.S43103,419
F28297.S17103,668
F28297.S01104,475
F28297.S13104,781
F28297.S10105,050
F28297.S34106,495
F28297.S31106,724
F28297.S38107,344
F28297.S15107,752
F28297.S37107,838
F28297.S40108,586
F28297.S42109,103
F28297.S07109,132
F28297.S08110,167
F28297.S20110,500
F28297.S44110,757
F28297.S27114,242
F28297.S30114,519
F28297.S35118,567
F28297.S23119,703
F28297.S21120,153
F28297.S03120,291
F28297.S29125,770
F28297.S28126,145
F28297.S06126,523
F28297.S41127,810
F28297.S48129,222
F28297.S47129,613
F28297.S24131,069
F28297.S16137,410
F28297.S26139,310
F28297.S36143,314
F28297.S46143,721
F28297.S22145,399
F28297.S02152,177
F28297.S45166,869
 
 
 

VII. Analysis - Read Taxonomy Assignment

Read Taxonomy Assignment - Methods

 

The close-reference taxonomy assignment of the ASV sequences using BLASTN is based on the algorithm published by Al-Hebshi et. al. (2015)[2].

The species-level, open-reference 16S rRNA NGS reads taxonomy assignment pipeline

Version 20210310a
 
 

1. Raw sequences reads in FASTA format were BLASTN-searched against a combined set of 16S rRNA reference sequences - the FOMC 16S rRNA Reference Sequences version 20221029 (https://microbiome.forsyth.org/ftp/refseq/). This set consists of the HOMD (version 15.22 http://www.homd.org/index.php?name=seqDownload&file&type=R ), Mouse Oral Microbiome Database (MOMD version 5.1 https://momd.org/ftp/16S_rRNA_refseq/MOMD_16S_rRNA_RefSeq/V5.1/), and the NCBI 16S rRNA reference sequence set (https://ftp.ncbi.nlm.nih.gov/blast/db/16S_ribosomal_RNA.tar.gz). These sequences were screened and combined to remove short sequences (<1000nt), chimera, duplicated and sub-sequences, as well as sequences with poor taxonomy annotation (e.g., without species information). This process resulted in 1,015 full-length 16S rRNA sequences from HOMD V15.22, 356 from MOMD V5.1, and 22,126 from NCBI, a total of 23,497 sequences. Altogether these sequence represent a total of 17,035 oral and non-oral microbial species.

The NCBI BLASTN version 2.7.1+ (Zhang et al, 2000) [3] was used with the default parameters. Reads with ≥ 98% sequence identity to the matched reference and ≥ 90% alignment length (i.e., ≥ 90% of the read length that was aligned to the reference and was used to calculate the sequence percent identity) were classified based on the taxonomy of the reference sequence with highest sequence identity. If a read matched with reference sequences representing more than one species with equal percent identity and alignment length, it was subject to chimera checking with USEARCH program version v8.1.1861 (Edgar 2010). Non-chimeric reads with multi-species best hits were considered valid and were assigned with a unique species notation (e.g., spp) denoting unresolvable multiple species.

2. Unassigned reads (i.e., reads with < 98% identity or < 90% alignment length) were pooled together and reads < 200 bases were removed. The remaining reads were subject to the de novo operational taxonomy unit (OTU) calling and chimera checking using the USEARCH program version v8.1.1861 (Edgar 2010)[4]. The de novo OTU calling and chimera checking was done using 98% as the sequence identity cutoff, i.e., the species-level OTU. The output of this step produced species-level de novo clustered OTUs with 98% identity. Representative reads from each of the OTUs/species were then BLASTN-searched against the same reference sequence set again to determine the closest species for these potential novel species. These potential novel species were pooled together with the reads that were signed to specie-level in the previous step, for down-stream analyses.

Reference:

  1. Al-Hebshi NN, Nasher AT, Idris AM, Chen T. Robust species taxonomy assignment algorithm for 16S rRNA NGS reads: application to oral carcinoma samples. J Oral Microbiol. 2015 Sep 29;7:28934. doi: 10.3402/jom.v7.28934. PMID: 26426306; PMCID: PMC4590409.
  2. Zhang Z, Schwartz S, Wagner L, Miller W. A greedy algorithm for aligning DNA sequences. J Comput Biol. 2000 Feb-Apr;7(1-2):203-14. doi: 10.1089/10665270050081478. PMID: 10890397.
  3. Edgar RC. Search and clustering orders of magnitude faster than BLAST. Bioinformatics. 2010 Oct 1;26(19):2460-1. doi: 10.1093/bioinformatics/btq461. Epub 2010 Aug 12. PubMed PMID: 20709691.
  4. 3. Designations used in the taxonomy:

    	1) Taxonomy levels are indicated by these prefixes:
    	
    	   k__: domain/kingdom
    	   p__: phylum
    	   c__: class
    	   o__: order
    	   f__: family
    	   g__: genus  
    	   s__: species
    	
    	   Example: 
    	
    	   k__Bacteria;p__Firmicutes;c__Clostridia;o__Clostridiales;f__Lachnospiraceae;g__Blautia;s__faecis
    		
    	2) Unique level identified – known species:
    	   
    	   k__Bacteria;p__Firmicutes;c__Clostridia;o__Clostridiales;f__Lachnospiraceae;g__Roseburia;s__hominis
    	
    	   The above example shows some reads match to a single species (all levels are unique)
    	
    	3) Non-unique level identified – known species:
    
    	   k__Bacteria;p__Firmicutes;c__Clostridia;o__Clostridiales;f__Lachnospiraceae;g__Roseburia;s__multispecies_spp123_3
    	   
    	   The above example “s__multispecies_spp123_3” indicates certain reads equally match to 3 species of the 
    	   genus Roseburia; the “spp123” is a temporally assigned species ID.
    	
    	   k__Bacteria;p__Firmicutes;c__Clostridia;o__Clostridiales;f__Lachnospiraceae;g__multigenus;s__multispecies_spp234_5
    	   
    	   The above example indicates certain reads match equally to 5 different species, which belong to multiple genera.; 
    	   the “spp234” is a temporally assigned species ID.
    	
    	4) Unique level identified – unknown species, potential novel species:
    	   
    	   k__Bacteria;p__Firmicutes;c__Clostridia;o__Clostridiales;f__Lachnospiraceae;g__Roseburia;s__ hominis_nov_97%
    	   
    	   The above example indicates that some reads have no match to any of the reference sequences with 
    	   sequence identity ≥ 98% and percent coverage (alignment length)  ≥ 98% as well. However this groups 
    	   of reads (actually the representative read from a de novo  OTU) has 96% percent identity to 
    	   Roseburia hominis, thus this is a potential novel species, closest to Roseburia hominis. 
    	   (But they are not the same species).
    	
    	5) Multiple level identified – unknown species, potential novel species:
    	   k__Bacteria;p__Firmicutes;c__Clostridia;o__Clostridiales;f__Lachnospiraceae;g__Roseburia;s__ multispecies_sppn123_3_nov_96%
    	
    	   The above example indicates that some reads have no match to any of the reference sequences 
    	   with sequence identity ≥ 98% and percent coverage (alignment length)  ≥ 98% as well. 
    	   However this groups of reads (actually the representative read from a de novo  OTU) 
    	   has 96% percent identity equally to 3 species in Roseburia. Thus this is no single 
    	   closest species, instead this group of reads match equally to multiple species at 96%. 
    	   Since they have passed chimera check so they represent a novel species. “sppn123” is a 
    	   temporary ID for this potential novel species. 
    

 
4. The taxonomy assignment algorithm is illustrated in this flow char below:
 
 
 
 

Read Taxonomy Assignment - Result Summary *

CodeCategoryMPC=0% (>=1 read)MPC=0.01%(>=548 reads)
ATotal reads5,493,3865,493,386
BTotal assigned reads5,487,2125,487,212
CAssigned reads in species with read count < MPC021,738
DAssigned reads in samples with read count < 50000
ETotal samples4848
FSamples with reads >= 5004848
GSamples with reads < 50000
HTotal assigned reads used for analysis (B-C-D)5,487,2125,465,474
IReads assigned to single species4,974,8074,960,659
JReads assigned to multiple species421,116419,648
KReads assigned to novel species91,28985,167
LTotal number of species569207
MNumber of single species314175
NNumber of multi-species2716
ONumber of novel species22816
PTotal unassigned reads6,1746,174
QChimeric reads7676
RReads without BLASTN hits3939
SOthers: short, low quality, singletons, etc.6,0596,059
A=B+P=C+D+H+Q+R+S
E=F+G
B=C+D+H
H=I+J+K
L=M+N+O
P=Q+R+S
* MPC = Minimal percent (of all assigned reads) read count per species, species with read count < MPC were removed.
* Samples with reads < 500 were removed from downstream analyses.
* The assignment result from MPC=0.1% was used in the downstream analyses.
 
 
 

Read Taxonomy Assignment - ASV Species-Level Read Counts Table

This table shows the read counts for each sample (columns) and each species identified based on the ASV sequences. The downstream analyses were based on this table.
SPIDTaxonomyF28297.S01F28297.S02F28297.S03F28297.S04F28297.S05F28297.S06F28297.S07F28297.S08F28297.S09F28297.S10F28297.S11F28297.S12F28297.S13F28297.S14F28297.S15F28297.S16F28297.S17F28297.S18F28297.S19F28297.S20F28297.S21F28297.S22F28297.S23F28297.S24F28297.S25F28297.S26F28297.S27F28297.S28F28297.S29F28297.S30F28297.S31F28297.S32F28297.S33F28297.S34F28297.S35F28297.S36F28297.S37F28297.S38F28297.S39F28297.S40F28297.S41F28297.S42F28297.S43F28297.S44F28297.S45F28297.S46F28297.S47F28297.S48
SP10Bacteria;Firmicutes;Negativicutes;Veillonellales;Veillonellaceae;Veillonella;dispar745126291881996111757415776485906017511178106410271428107010084795706868045817178851217773781105789359901081026912511771189119413211288126195942271206286
SP101Bacteria;Proteobacteria;Gammaproteobacteria;Pasteurellales;Pasteurellaceae;Haemophilus;pittmaniae5010918212430341422172212313721191529102210256079710512226632405335821369588898649602729156330450200391398
SP102Bacteria;Bacteroidetes;Bacteroidia;Bacteroidales;Porphyromonadaceae;Porphyromonas;sp. HMT93000000020515417823425523661450660564706975063000000000000000000000000
SP103Bacteria;Fusobacteria;Fusobacteriia;Fusobacteriales;Fusobacteriaceae;Fusobacterium;nucleatum19823422519221823520620314417816113321020919530930522294135176295822233755546634743555463143241515871877129810101808280829812503311631933372380307545548572617
SP104Bacteria;Actinobacteria;Actinomycetia;Actinomycetales;Actinomycetaceae;Actinomyces;graevenitzii1763239417421513145920061593137311921224116713121748143514602007157713816308438711034822100010112013711311912946491834634980147108149140165506072548489
SP105Bacteria;Bacteroidetes;Flavobacteriia;Flavobacteriales;Weeksellaceae;Riemerella;sp. HMT3221021511199490135101125948687891109774144134977192121143125125000000000000000000000000
SP107Bacteria;Bacteroidetes;Flavobacteriia;Flavobacteriales;Flavobacteriaceae;Capnocytophaga;gingivalis45796946697810587697270709764689865563045586429530000001700000000000000000
SP108Bacteria;Firmicutes;Clostridia;Eubacteriales;Ruminococcaceae;Ruminococcaceae_[G-1];bacterium HMT0757210683706728846971725465371742453044961409112814912600000021001200000000000009
SP109Bacteria;Firmicutes;Bacilli;Lactobacillales;Streptococcaceae;Streptococcus;sp. HMT056014207181248795752686439374462395512157141318173443392502942184419346610560871024115013880
SP11Bacteria;Firmicutes;Negativicutes;Veillonellales;Veillonellaceae;Veillonella;parvula6208956776316588779838217999458548687116146838486235807289061025126910321020206330411901220322202268703683561731556858211618761800217924552163106511981450167211801082
SP110Bacteria;Firmicutes;Clostridia;Eubacteriales;Lachnospiraceae;Lachnoanaerobaculum;orale1601721551461914229239193203162176168163136168132151166249264291208234031804346000004553008000045000
SP111Bacteria;Bacteroidetes;Bacteroidia;Bacteroidales;Prevotellaceae;Prevotella;melaninogenica7076103848434716877619959607058435837677061066433717664806598752357735861813110029111621242391901050411031219101366312231079776108088196276111421178104612481597198218748267371418105910081109
SP116Bacteria;Proteobacteria;Gammaproteobacteria;Pasteurellales;Pasteurellaceae;Aggregatibacter;sp. HMT458410016353700003203932343427150376660233545900144776313402900000000101057461715
SP117Bacteria;Fusobacteria;Fusobacteriia;Fusobacteriales;Fusobacteriaceae;Fusobacterium;hwasookii00000013591311780000000000002939526144303051265124592607251043423991829137194971397234187
SP12Bacteria;Proteobacteria;Epsilonproteobacteria;Campylobacterales;Campylobacteraceae;Campylobacter;concisus430581483363424534457369374441328339464343344487317239395573585705549611330247993020342940203647188915731543188713812308217515311468217220401496182416522231154123502501
SP121Bacteria;Bacteroidetes;Bacteroidia;Bacteroidales;Prevotellaceae;Prevotella;pallens195923911935182119212458127791299510341091126922661902190825011770172412962131226426421593194300100000230011000000050402245390
SP122Bacteria;Firmicutes;Clostridia;Eubacteriales;Lachnospiraceae;Lachnospiraceae_[G-2];bacterium HMT09625429427420624133235530433426222427489165811058370422486550567569539000000000000000000000000
SP125Bacteria;Bacteroidetes;Bacteroidia;Bacteroidales;Prevotellaceae;Prevotella;salivae591814748658658780730670661737706679666560549704551506509661703901623759353323035019420921525319137584074641191299992165123156131
SP126Bacteria;Actinobacteria;Actinomycetia;Actinomycetales;Actinomycetaceae;Actinomyces;sp. HMT16944659238133335245420511311418614618037129029645231931021130528639225829364777925464301913270057714832575518921342343
SP13Bacteria;Proteobacteria;Gammaproteobacteria;Pasteurellales;Pasteurellaceae;Aggregatibacter;aphrophilus8382400069636399677212010015000820019278662983488446437563442233574607522447321108103767413880998641211918587
SP130Bacteria;Actinobacteria;Actinomycetia;Actinomycetales;Actinomycetaceae;Actinomyces;sp. HMT17573827647661141011051068213111361746483568768747511791962114191501626290221802000111102500331536
SP131Bacteria;Firmicutes;Bacilli;Bacillales;Gemellaceae;Gemella;sanguinis180627152238143615231989167019261287131113011175209417802514357825732065113411141278168717981836253748613293486139324048220319361395219823672280169119521362147115751312193120503865261327143046
SP132Bacteria;Proteobacteria;Epsilonproteobacteria;Campylobacterales;Campylobacteraceae;Campylobacter;sp. HMT04403129282630365604751046423550453981589510896120691681024953000000000006011416627172196297
SP135Bacteria;Firmicutes;Bacilli;Lactobacillales;Streptococcaceae;Streptococcus;sp. HMT061127250200129135149350412310337405330447402589666538452491479509614590696133127152625073111010294629335260141232251313
SP14Bacteria;Proteobacteria;Gammaproteobacteria;Pasteurellales;Pasteurellaceae;Haemophilus;haemolyticus7713510294107142257233213226245235165126159194117144160207233291167261427259482933194112253131240512355447645829000000
SP140Bacteria;Proteobacteria;Betaproteobacteria;Neisseriales;Neisseriaceae;Neisseria;subflava192271194182261335000043354202904200000001026314815633007199717823091409221962550293217928773508777824117117721859810553890171586715
SP143Bacteria;Firmicutes;Bacilli;Lactobacillales;Streptococcaceae;Streptococcus;oralis5828286414004996676587165666556405645284105797085804643703654005083254442723502041651961981023123493010421025102889784369769510611089633600883810720579
SP144Bacteria;Proteobacteria;Betaproteobacteria;Burkholderiales;Burkholderiaceae;Lautropia;mirabilis1161149590114155206206176237170221114118114157968041689579581032566437947720281904400363110130926413081174146
SP145Bacteria;Bacteroidetes;Bacteroidia;Bacteroidales;Prevotellaceae;Prevotella;sp. HMT306247275235168231283225213193245193200000000252375358470349383000000000001000000003500
SP147Bacteria;Proteobacteria;Gammaproteobacteria;Enterobacterales;Yersiniaceae;Serratia;marcescens000000000000000000000000512016671181200000000000000000000
SP148Bacteria;Firmicutes;Clostridia;Eubacteriales;Lachnospiraceae;Catonella;morbi18528223821123129313394114116981362251531522281711971632642993422232711871811212082071392191602223442372573542983214235204468310011397136116
SP149Bacteria;Bacteroidetes;Bacteroidia;Bacteroidales;Prevotellaceae;Prevotella;jejuni59057564843257654817061540147118941769180352958947143232931516862208244828251949236100000071118131835978000022208578147365379
SP15Bacteria;Firmicutes;Clostridia;Eubacteriales;Lachnospiraceae;Stomatobaculum;longum8714413687731022341581891361211677184737769531651191672522121869761457993947838708204564361564377144411512521337447348413510376432291
SP151Bacteria;Firmicutes;Tissierellia;Tissierellales;Peptoniphilaceae;Parvimonas;sp. HMT1100000001400000061001000240000000000595766590700970820000000289822871839389727402313
SP152Bacteria;Firmicutes;Bacilli;Lactobacillales;Streptococcaceae;Streptococcus;sp. HMT05722934826121418224711512787110135764344485257755254831078384145124115537050752948904606174451119274108187157678000
SP153Bacteria;Firmicutes;Bacilli;Lactobacillales;Carnobacteriaceae;Granulicatella;elegans891209379568960368456448259353724025031850431928223529031340833238900000010281229112864000022122712308
SP154Bacteria;Firmicutes;Bacilli;Lactobacillales;Streptococcaceae;Streptococcus;sp. HMT4231312209517641132121715031022105589599198191696394111151500101598494211441252145312101342275341683984442238743541171021201733202720531845129115871374163416111520328827504018418730242254
SP155Bacteria;Actinobacteria;Actinomycetia;Actinomycetales;Actinomycetaceae;Actinomyces;sp. HMT171374235493127344329333054521423522826355654755560000000000000000000000000
SP156Bacteria;Proteobacteria;Betaproteobacteria;Neisseriales;Neisseriaceae;Neisseria;perflava18432333203116811688246118801661147215801421162624672267205527951848192912591881179523371668202511312421195119422451177488168358277789268434117514489117603309177073454912561838557820
SP158Bacteria;Actinobacteria;Actinomycetia;Actinomycetales;Actinomycetaceae;Schaalia;sp. HMT1721453203013851224126315901493134312311349127712651772169916982299177515401214171416492037149718863964554514274133903975444806512820416424426025314773176156151132
SP160Bacteria;Proteobacteria;Gammaproteobacteria;Pasteurellales;Pasteurellaceae;Aggregatibacter;paraphrophilus00000000000000000000000036077145325953739537040560390000006555610030
SP161Bacteria;Firmicutes;Negativicutes;Selenomonadales;Selenomonadaceae;Selenomonas;sp. HMT136861357598841071018580881021044355395436341912482643102052500000900087011000000040050
SP162Bacteria;Fusobacteria;Fusobacteriia;Fusobacteriales;Leptotrichiaceae;Pseudoleptotrichia;sp. HMT221499736694501532743614608564432456494176152147202134121675815923107810541029009000000000000000000000
SP163Bacteria;Firmicutes;Clostridia;Eubacteriales;Lachnospiraceae;Oribacterium;sinus518839612523495649430436368410395382490461533638467387563622676818621742000000000000000000000000
SP164Bacteria;Bacteroidetes;Bacteroidia;Bacteroidales;Prevotellaceae;Prevotella;vespertina325641312136475457497527546507666873866284180230258305184268000000000060000000400000
SP165Bacteria;Bacteroidetes;Flavobacteriia;Flavobacteriales;Flavobacteriaceae;Capnocytophaga;sputigena10313514592110160650436551708959486542444984769169960000000000000000000012000
SP167Bacteria;Bacteroidetes;Bacteroidia;Bacteroidales;Prevotellaceae;Alloprevotella;tannerae18719517415916223214516012617413814817214415119217116673991211338312800000003419462254000000081810016
SP168Bacteria;Bacteroidetes;Bacteroidia;Bacteroidales;Prevotellaceae;Prevotella;scopos721111098010185332900260187152151150182125065626835490000000000000000000000190
SP170Bacteria;Fusobacteria;Fusobacteriia;Fusobacteriales;Fusobacteriaceae;Fusobacterium;nucleatum_subsp._animalis0830000670046058007562000000010700000000000000000000001380
SP171Bacteria;Actinobacteria;Actinomycetia;Actinomycetales;Actinomycetaceae;Peptidiphaga;sp. HMT183034143024214137233940280018293625485548594861000000000000000000000000
SP175Bacteria;Proteobacteria;Betaproteobacteria;Neisseriales;Neisseriaceae;Neisseria;sicca1039910297991432631202522240000000000001550192334612763609764990535101160000000120119371158198183
SP178Bacteria;Proteobacteria;Gammaproteobacteria;Pasteurellales;Pasteurellaceae;Aggregatibacter;segnis28520300413425383836015702134166372681174566648134410181180161412586636499142255206573711055965912746946863733119811197022822157611576218240
SP179Bacteria;Firmicutes;Bacilli;Lactobacillales;Streptococcaceae;Streptococcus;australis18952926230314961428208590611378139017697911535148519302377200415001029968110812911325135722923026319624826467667763229836433021628335529150931607913433
SP18Bacteria;Proteobacteria;Betaproteobacteria;Neisseriales;Neisseriaceae;Eikenella;corrodens313102500000000014023000000004266195043184935086063383990556836745137295666391297883132112106
SP181Bacteria;Firmicutes;Bacilli;Lactobacillales;Streptococcaceae;Streptococcus;anginosus2413071211000670036173434343615316914316915216300000000003760500017350035730
SP183Bacteria;Firmicutes;Bacilli;Lactobacillales;Streptococcaceae;Streptococcus;oralis_subsp._tigurinus_clade_07161129906468763343285533316961155148756539354253343016344938755410621150968134810461027108284101105168761317115497416141053652
SP188Bacteria;Proteobacteria;Gammaproteobacteria;Pasteurellales;Pasteurellaceae;Haemophilus;parahaemolyticus128136117911171705330450605011510498107102773560566335450005000000014000000000000
SP19Bacteria;Firmicutes;Bacilli;Bacillales;Gemellaceae;Gemella;morbillorum07889587174140161115108977917514418533523115207698142890434779459543710802268421591845200122981907453613489533534439195019733326232224612717
SP190Bacteria;Fusobacteria;Fusobacteriia;Fusobacteriales;Fusobacteriaceae;Fusobacterium;nucleatum_subsp._vincentii35735359526809000028332133402801909450000000000000000600000000
SP191Bacteria;Fusobacteria;Fusobacteriia;Fusobacteriales;Fusobacteriaceae;Fusobacterium;sp. HMT248000000101095120312550573735518151215150000000000008326629386871941100321348
SP194Bacteria;Actinobacteria;Actinomycetia;Micrococcales;Micrococcaceae;Rothia;aeria87110867089122246213220268228270767410214472774594921276210232512724539013171214104601318731310272120323020
SP195Bacteria;Proteobacteria;Gammaproteobacteria;Enterobacterales;Enterobacteriaceae;Escherichia;coli00000000000000000000000000000000005570000000004700107000
SP198Bacteria;Proteobacteria;Betaproteobacteria;Neisseriales;Neisseriaceae;Neisseria;flavescens12131638124310341133152764854943955848349374861159181156555249767968885173471610289177989843132821147412429850810175740691921402014840208431710719495205762656420570281424144631463222412367
SP199Bacteria;Proteobacteria;Betaproteobacteria;Neisseriales;Neisseriaceae;Neisseria;elongata48715457577230423222429528127913187711027494345467715139135271513317954415445033311878353930445425229021144026275022681921
SP2Bacteria;Firmicutes;Clostridia;Eubacteriales;Peptostreptococcaceae;Peptostreptococcaceae_[G-7];bacterium HMT92202625151325000000000009000000221258162196159171441364380500446479031022473663130101869161
SP20Bacteria;Firmicutes;Bacilli;Lactobacillales;Streptococcaceae;Streptococcus;oralis_subsp._tigurinus_clade_0702543293516373316231215132529286359395970581028889162214132025333927514551524654263653272229294394235162
SP200Bacteria;Firmicutes;Bacilli;Lactobacillales;Streptococcaceae;Streptococcus;intermedius709078575873437440585748929611814879109292969886483877912291796529483967520358659597779121477018
SP202Bacteria;Firmicutes;Clostridia;Eubacteriales;Lachnospiraceae;Butyrivibrio;sp. HMT45557786565405856554260595633272829030132160157144125127000000000000000000000000
SP204Bacteria;Proteobacteria;Gammaproteobacteria;Enterobacterales;Yersiniaceae;Serratia;surfactantfaciens00000000000000000000000011800356525521040000000000000000000
SP205Bacteria;Proteobacteria;Betaproteobacteria;Neisseriales;Neisseriaceae;Neisseria;cinerea12881501227111523302479667495647210242630172000000000006305500003139714125
SP207Bacteria;Actinobacteria;Coriobacteriia;Coriobacteriales;Atopobiaceae;Lancefieldella;parvula733948737485504685113914011168129610961099578610691101763857192891599114051181138582965585811001511241088090100125799416217516485105130155153182
SP208Bacteria;Actinobacteria;Actinomycetia;Actinomycetales;Actinomycetaceae;Schaalia;meyeri12619314612615115441233735736529730885737998717862481087412811051127618241218141984906659061011211159154234199225202
SP21Bacteria;Firmicutes;Bacilli;Lactobacillales;Streptococcaceae;Streptococcus;oralis_subsp._dentisani_clade_058370642490384364439407490386423405391233248320366300243328310384437347392258436311249269269283461372427308332100155100127126122244169211282201202
SP212Bacteria;Firmicutes;Clostridia;Eubacteriales;Ruminococcaceae;Ruminococcaceae_[G-2];bacterium HMT0851071331361231171299910292855792150103120150113111183198213259251237000000000000000000283648145075
SP214Bacteria;Bacteroidetes;Bacteroidia;Bacteroidales;Porphyromonadaceae;Porphyromonas;endodontalis11612511310083122150000250640821017102323000000000000000000000000000
SP215Bacteria;Bacteroidetes;Bacteroidia;Bacteroidales;Prevotellaceae;Prevotella;nigrescens14914311112510515680568694959618116717317917816263158189178114177000000000000000000000090
SP216Bacteria;Proteobacteria;Gammaproteobacteria;Enterobacterales;Enterobacteriaceae;Klebsiella;aerogenes00000000000000000000000000000016977168655961665283103701422860130234823551636410903893
SP218Bacteria;Proteobacteria;Gammaproteobacteria;Pasteurellales;Pasteurellaceae;Haemophilus;sp. HMT03612012312714610415811212212411095105227181183226154185106158168179102153801391248465115220581737511719198627410610367000000
SP22Bacteria;Firmicutes;Bacilli;Lactobacillales;Streptococcaceae;Streptococcus;cristatus_clade_578189291264154153199200223189200221172457433518634511437133127123167146146178429232200360257134815761372152915191906630807674839938685676661888850764374
SP222Bacteria;Actinobacteria;Actinomycetia;Bifidobacteriales;Bifidobacteriaceae;Bifidobacterium;longum1200000106926799101106000000110202300000000000000000000000000
SP224Bacteria;Firmicutes;Bacilli;Lactobacillales;Streptococcaceae;Streptococcus;mutans5878173512855361722181627472637433424132238281521000000000000000000000000
SP229Bacteria;Actinobacteria;Actinomycetia;Bifidobacteriales;Bifidobacteriaceae;Alloscardovia;omnicolens0000602020815171613000002734254627280160000556475483953008211007557139121123125
SP230Bacteria;Absconditabacteria_(SR1);Absconditabacteria_(SR1)_[C-1];Absconditabacteria_(SR1)_[O-1];Absconditabacteria_(SR1)_[F-1];Absconditabacteria_(SR1)_[G-1];bacterium HMT875621117366601129410310813213510479530066668885126133771180000000003104800000052666453049
SP232Bacteria;Bacteroidetes;Bacteroidia;Bacteroidales;Prevotellaceae;Prevotella;sp. HMT30966866674756582644768627525032312314181229272278208243000000000000000000000000
SP237Bacteria;Actinobacteria;Actinomycetia;Actinomycetales;Actinomycetaceae;Actinomyces;massiliensis80857267808541373538544088717498938503834463333000000000000000000000000
SP239Bacteria;Fusobacteria;Fusobacteriia;Fusobacteriales;Leptotrichiaceae;Leptotrichia;sp. HMT2185499854462616912267634949000000000000000000000000000000000000
SP241Bacteria;Firmicutes;Clostridia;Eubacteriales;Peptostreptococcaceae;Peptostreptococcus;stomatis4256675434474675143993452963253874245574175325615485382764275105124674097813910080579953443159334239635723564591102262584417472279132728524154
SP242Bacteria;Proteobacteria;Gammaproteobacteria;Pasteurellales;Pasteurellaceae;Haemophilus;sputorum1932331801481542292122111841532011982261972233051942009713917719615519088255115171139248215232248178157210151991384812213293559292845
SP243Bacteria;Firmicutes;Clostridia;Eubacteriales;Lachnospiraceae;Oribacterium;parvum454038434134190000000018180362039654954000000000000000000000000
SP244Bacteria;Actinobacteria;Actinomycetia;Corynebacteriales;Corynebacteriaceae;Corynebacterium;argentoratense000000978310499101860000000000000000001470078330000000003300
SP245Bacteria;Proteobacteria;Betaproteobacteria;Neisseriales;Neisseriaceae;Kingella;oralis414637282441242213312219171827272512191429281518118119118000003502030000000
SP247Bacteria;Firmicutes;Bacilli;Lactobacillales;Streptococcaceae;Streptococcus;periodonticum58489674247146760711912512214999104704266877948946010514611314214371617242604000120000008011800
SP248Bacteria;Firmicutes;Clostridia;Eubacteriales;Peptostreptococcaceae;Peptoanaerobacter;[Eubacterium] yurii00000000000000000000000000005000616914770000009410780178810
SP249Bacteria;Proteobacteria;Betaproteobacteria;Neisseriales;Neisseriaceae;Neisseria;flava11217315512611632614912511213415913412610895122111115112189173220128174155146774195512441363563121288711361781359720144405413004621106229705070621624111192102016433
SP25Bacteria;Firmicutes;Clostridia;Eubacteriales;Lachnospiraceae;Stomatobaculum;sp. HMT09733945630925826837816816515417120015230026929837928526634442943755940147943051633848156913722081202615392088254341594709121010166791140663966881941
SP250Bacteria;Bacteroidetes;Bacteroidia;Bacteroidales;Porphyromonadaceae;Porphyromonas;sp. HMT27800000000000000000000000000000018828523427676386000000009000
SP251Bacteria;Absconditabacteria_(SR1);Absconditabacteria_(SR1)_[C-1];Absconditabacteria_(SR1)_[O-1];Absconditabacteria_(SR1)_[F-1];Absconditabacteria_(SR1)_[G-1];bacterium HMT345648784604998110161210211525001614000000000000000000000000000000
SP252Bacteria;Firmicutes;Negativicutes;Veillonellales;Veillonellaceae;Dialister;invisus30353527362303126241921353025452725193443483238000000000000000000000000
SP253Bacteria;Proteobacteria;Gammaproteobacteria;Enterobacterales;Enterobacteriaceae;Shigella;dysenteriae00000000000000000000000000000000000000000008610204900
SP257Bacteria;Saccharibacteria_(TM7);Saccharibacteria_(TM7)_[C-1];Saccharibacteria_(TM7)_[O-1];Saccharibacteria_(TM7)_[F-1];Saccharibacteria_(TM7)_[G-3];bacterium HMT351142205154122144173937874897285981049419013380155199187261191232000000291225339361305356000000167221406190332326
SP267Bacteria;Firmicutes;Bacilli;Lactobacillales;Streptococcaceae;Streptococcus;koreensis257357220188150206212401000123108157241130131871616209000000000000000000000000
SP27Bacteria;Firmicutes;Erysipelotrichia;Erysipelotrichales;Erysipelotrichaceae;Solobacterium;moorei5286505354264195573053032422942682774303393985934853802963703384793504169991102100778139938535342138949211772123190154155372351515344482476
SP272Bacteria;Actinobacteria;Actinomycetia;Actinomycetales;Actinomycetaceae;Actinomyces;sp. HMT17069845235487537314048406158434058454423205146232751362740364400101800191801715130000190
SP274Bacteria;Bacteroidetes;Bacteroidia;Bacteroidales;Prevotellaceae;Prevotella;aurantiaca85117901077411113228002500009071951041128792000000000000000000000000
SP277Bacteria;Firmicutes;Tissierellia;Tissierellales;Peptoniphilaceae;Parvimonas;micra46113107586783294637354643125891192151429835047766555000000002000000000021012
SP281Bacteria;Firmicutes;Bacilli;Lactobacillales;Streptococcaceae;Streptococcus;oralis_subsp._dentisani_clade_398230028230942039212900000096120118186116162048262700305825313337000000686158685636
SP284Bacteria;Firmicutes;Clostridia;Eubacteriales;Peptococcaceae;Peptococcus;sp. HMT1683235341837026453132371529380544634302843542227000000000000000000000006
SP286Bacteria;Bacteroidetes;Bacteroidia;Bacteroidales;Prevotellaceae;Prevotella;shahii1141138890108153715464695159124977210477929311717218010516118000011013017230000623078601136372159
SP288Bacteria;Proteobacteria;Gammaproteobacteria;Enterobacterales;Enterobacteriaceae;Shigella;sonnei00000000000000000000000000000000001026000240195004190100900
SP29Bacteria;Fusobacteria;Fusobacteriia;Fusobacteriales;Leptotrichiaceae;Leptotrichia;sp. HMT215220389347192264269408348370296268266303296323437302275290252266399357376257267289188208289425443385563462865199179179256225221187447477344486562
SP292Bacteria;Firmicutes;Clostridia;Eubacteriales;Peptostreptococcaceae;Peptostreptococcaceae_[G-1];[Eubacterium]_sulci32743840228127036722222822121322120728832036156938735238845647755839654400000010799134139105128000000245347385188388290
SP296Bacteria;Proteobacteria;Betaproteobacteria;Neisseriales;Neisseriaceae;Neisseria;oralis00000042017505058000000021353115218814615880140130151802627028331602335000000
SP3Bacteria;Actinobacteria;Actinomycetia;Actinomycetales;Actinomycetaceae;Schaalia;lingnae572812546417460627575621492622536482489473581703557426338363439571374543000440000000000000593743005343
SP30Bacteria;Proteobacteria;Gammaproteobacteria;Pasteurellales;Pasteurellaceae;Haemophilus;parainfluenzae2756387832912597283938443163319828393078277729783635313832704322302228762810346435114905376938407056122869099118271252310995481036313481369239664798195171882717470181222240218012202615253072214025472161
SP303Bacteria;Proteobacteria;Gammaproteobacteria;Enterobacterales;Enterobacteriaceae;Raoultella;planticola000000000000000000000000000000260008029241703361522540145000000
SP305Bacteria;Firmicutes;Bacilli;Lactobacillales;Streptococcaceae;Streptococcus;vestibularis5395735780777997667511486119941101239910110313215817914713061516544426402030340000000060581391138883
SP309Bacteria;Fusobacteria;Fusobacteriia;Fusobacteriales;Fusobacteriaceae;Fusobacterium;sp. HMT20427383422430242420172115283120226228132436433338129210232163180159472278279362299511931075014684111453564264849
SP31Bacteria;Bacteroidetes;Bacteroidia;Bacteroidales;Prevotellaceae;Prevotella;nanceiensis67295278470678987547640130941235148592174877310357948003845547207773955390000902318027182600000003541274835
SP317Bacteria;Actinobacteria;Actinomycetia;Actinomycetales;Actinomycetaceae;Actinomyces;sp. HMT44810516913198961064802632393210177871068274416760814970000000000000000000000000
SP318Bacteria;Bacteroidetes;Bacteroidia;Bacteroidales;Porphyromonadaceae;Porphyromonas;sp. HMT277000000000000000000000000000000172229200205172339000000000000
SP32Bacteria;Firmicutes;Negativicutes;Veillonellales;Veillonellaceae;Veillonella;rogosae144820071720148315531996124610549371031945111821911912204625121820171380010911164133010771244111814171024127716751238579520489676613867170917221756193119672172437458803561608622
SP33Bacteria;Firmicutes;Bacilli;Lactobacillales;Streptococcaceae;Streptococcus;cristatus00000074856981337121335078561800000000000016923323126618833800100000504900
SP34Bacteria;Firmicutes;Bacilli;Lactobacillales;Streptococcaceae;Streptococcus;mitis46507379568441474144534551585789511653725126484037583302423150524144347336533823441350034376464545052736541349243142955345251230939490410298588721070909301233382383313287
SP35Bacteria;Actinobacteria;Actinomycetia;Actinomycetales;Actinomycetaceae;Schaalia;sp. HMT1809861438102788496912624143453103063213091035964938118887884712112211217014516630740335833330530300000111541907577245102000000
SP37Bacteria;Firmicutes;Bacilli;Lactobacillales;Streptococcaceae;Streptococcus;gordonii192321260791762511481361358912069296241349503365283134161139193165194159620181917179818951704163018141227152610971258234833712459295733933365151713551876201418411721
SP38Bacteria;Bacteroidetes;Bacteroidia;Bacteroidales;Porphyromonadaceae;Porphyromonas;catoniae12000000272737277101100110160171420000000040836034033836260100000026015928817427171
SP39Bacteria;Firmicutes;Bacilli;Lactobacillales;Streptococcaceae;Streptococcus;parasanguinis_clade_411324047933777267926503466350340243108323730952846392337425092659548083956395239164318515855005508628762777816762662171192101134125131567435409474559555306282426337283278
SP4Bacteria;Saccharibacteria_(TM7);Saccharibacteria_(TM7)_[C-1];Saccharibacteria_(TM7)_[O-1];Saccharibacteria_(TM7)_[F-1];Saccharibacteria_(TM7)_[G-1];bacterium HMT3524526415734644005884523933203733954444192814164473753381972784785472924645364454649512748253830363762536288622426324000
SP40Bacteria;Bacteroidetes;Bacteroidia;Bacteroidales;Prevotellaceae;Alloprevotella;rava31502439464013914012819615215532220413517213360337423320236000000000000000000000000
SP41Bacteria;Actinobacteria;Actinomycetia;Corynebacteriales;Corynebacteriaceae;Corynebacterium;durum1131501329810414713710695137134132132125104122931081161641582091281830800000000000000001200000
SP42Bacteria;Proteobacteria;Gammaproteobacteria;Enterobacterales;Enterobacteriaceae;Escherichia;fergusonii000000000000000000000000000000000011780009003910000000
SP46Bacteria;Firmicutes;Negativicutes;Veillonellales;Veillonellaceae;Veillonella;sp. HMT917144125961058615954000036211156181226199142117147171205160154000000000000000000000000
SP47Bacteria;Bacteroidetes;Bacteroidia;Bacteroidales;Prevotellaceae;Prevotella;oris1633662217255006867530163437112825771895963117065000000000000000000000000
SP48Bacteria;Bacteroidetes;Bacteroidia;Bacteroidales;Prevotellaceae;Alloprevotella;sp. HMT91424728827926426739921719414525821427531914530036229428696171187252132205000000000000000000000000
SP49Bacteria;Firmicutes;Bacilli;Lactobacillales;Streptococcaceae;Streptococcus;sp. HMT066105017141211895798115711011177987100189181210511006134817011251103668571371382985089188142104140861088274425266441201441231211191517471103969174
SP5Bacteria;Bacteroidetes;Bacteroidia;Bacteroidales;Porphyromonadaceae;Porphyromonas;pasteri183125591906184919752605124411181070135811271310266723792041259920681876101614421572191211281608785712610675887580606444764739494546457949399558341441342397303732295960455544624197
SP50Bacteria;Firmicutes;Bacilli;Lactobacillales;Streptococcaceae;Streptococcus;chosunense14672600206914631439178815651927146917591758157616361611212823511851163417731853214324842238236513802402850183334368324370368349103163113157157130266235386392269281
SP51Bacteria;Actinobacteria;Actinomycetia;Corynebacteriales;Corynebacteriaceae;Corynebacterium;matruchotii3780678501101026507768910000540224606000000000000000000000000000
SP52Bacteria;Firmicutes;Bacilli;Lactobacillales;Streptococcaceae;Streptococcus;infantis_clade_4317721240942760661943109012871025110510531019921727974117192378713321357144417051502151510312312113213617515418814813416314215176125180146172149156225189188131
SP53Bacteria;Bacteroidetes;Flavobacteriia;Flavobacteriales;Flavobacteriaceae;Capnocytophaga;leadbetteri669251304977875685587266010387954676493176014490130000000000000000000000
SP54Bacteria;Bacteroidetes;Bacteroidia;Bacteroidales;Prevotellaceae;Prevotella;sp. HMT305711241008112512086655488100087826910864664873771027992000000000000000000000000
SP56Bacteria;Bacteroidetes;Flavobacteriia;Flavobacteriales;Weeksellaceae;Cloacibacterium;sp. HMT20670117767688971811231681801681670322943321985129118167103136000000000000000000000000
SP57Bacteria;Bacteroidetes;Bacteroidia;Bacteroidales;Prevotellaceae;Prevotella;denticola7372637682794100403641787084062611431047000100000000000000000000000
SP58Bacteria;Proteobacteria;Gammaproteobacteria;Pasteurellales;Pasteurellaceae;Aggregatibacter;sp. HMT5130007006240301329433533641818046294437013639123620329622412476189186967881605254188243235304268416759896564582959487408
SP60Bacteria;Actinobacteria;Actinomycetia;Actinomycetales;Actinomycetaceae;Actinomyces;oris297252513652113110641026010931119451714468168914494483616223831025170100123322111021241818162514
SP61Bacteria;Firmicutes;Bacilli;Lactobacillales;Aerococcaceae;Abiotrophia;defectiva1191519773661333022982632783152798961121176147841339313114110815838430343651899089861075814300394351465774735445
SP62Bacteria;Bacteroidetes;Bacteroidia;Bacteroidales;Prevotellaceae;Alloprevotella;sp. HMT473283317285247277341106289892910831050109563361056375756055520038430438322125900000035634641077038028026000000
SP63Bacteria;Proteobacteria;Gammaproteobacteria;Pasteurellales;Pasteurellaceae;Aggregatibacter;sp. HMT5120000001100211302017163632156500200401731034679701816100214652465259318482560220720768008541359114312151419
SP64Bacteria;Actinobacteria;Actinomycetia;Actinomycetales;Actinomycetaceae;Actinomyces;naeslundii443440312946897980909792212822402818232754323023000000000000000000060000
SP66Bacteria;Firmicutes;Bacilli;Bacillales;Gemellaceae;Gemella;haemolysans1008137211229258461181161017041360128313851295114910521366192513831220111912181341168415571622268311224260295343305255283433389401314256188154179470243254443349299324
SP67Bacteria;Bacteroidetes;Bacteroidia;Bacteroidales;Prevotellaceae;Prevotella;intermedia8011789117899894344641255977718752863000080000000000000000000000000
SP68Bacteria;Firmicutes;Negativicutes;Selenomonadales;Selenomonadaceae;Selenomonas;sp. HMT1497095517497126394352714067323248543753573455934782000000000000000000000000
SP69Bacteria;Saccharibacteria_(TM7);Saccharibacteria_(TM7)_[C-1];Saccharibacteria_(TM7)_[O-1];Saccharibacteria_(TM7)_[F-1];Saccharibacteria_(TM7)_[G-6];bacterium HMT8702453533141432023191431561151349612316216919724723616066117115135113120070000000171500006007120705
SP7Bacteria;Fusobacteria;Fusobacteriia;Fusobacteriales;Fusobacteriaceae;Fusobacterium;periodonticum17412536223515551943247717931760149215301432136621931985233430922213192615951847180923422157244142545133443441814950404111495110811124913012989518413370025613031368548083163697089841211078511172010150
SP71Bacteria;Firmicutes;Negativicutes;Veillonellales;Veillonellaceae;Veillonella;tobetsuensis20330926726023324659697876518014313811516212912931525547423989759078875379535480641038212687120136116242033282244
SP72Bacteria;Actinobacteria;Actinomycetia;Propionibacteriales;Propionibacteriaceae;Arachnia;propionica0210300334931383157421818250141613310412927000000000000000000000000
SP73Bacteria;Fusobacteria;Fusobacteriia;Fusobacteriales;Leptotrichiaceae;Leptotrichia;sp. HMT417419671602381353489519623469445416412331338390439383315749814791115113171015000000000000000000000000
SP77Bacteria;Actinobacteria;Actinomycetia;Micrococcales;Micrococcaceae;Rothia;mucilaginosa738110659724053035367742761576520507757154987479163065998748790186487593342355482571378187308797995879111171771251086714661068119123323696193727285271053398705496407432515364465861316147
SP78Bacteria;Proteobacteria;Betaproteobacteria;Neisseriales;Neisseriaceae;Neisseria;mucosa57825980621002712072432332462737470537668441311992772641732252524182582202922707034145724524925169430005545277275655428264251
SP8Bacteria;Firmicutes;Bacilli;Lactobacillales;Carnobacteriaceae;Granulicatella;adiacens43556343501434343342475335504144320731712844267735913354464864944558373035603637382550284970503124093270350236883505347313401482135413481572144619161573149218282052190811061025150615021088850
SP80Bacteria;Firmicutes;Bacilli;Lactobacillales;Streptococcaceae;Streptococcus;salivarius10137155371282710448103971279214417147431236913725129021274591818474960511508894982861160613728152281746515514152737048949081458748991185285053591853925570558566934376487049345410603854095569603211481903076646757
SP81Bacteria;Proteobacteria;Epsilonproteobacteria;Campylobacterales;Campylobacteraceae;Campylobacter;showae0345229314158310494219110160027041013262911923613915313015015911915618014726972752516506693881091999793
SP82Bacteria;Firmicutes;Negativicutes;Veillonellales;Veillonellaceae;Veillonella;sp. HMT780003328211929825525527326729710310385120557166659310053580000002220296805402921253136006000
SP83Bacteria;Bacteroidetes;Bacteroidia;Bacteroidales;Prevotellaceae;Prevotella;histicola1493223517781721163521792239213521672555222424002339219720242588187517051215159816512139132215878410682751058373105819779150104768415416114578671218211396
SP84Bacteria;Actinobacteria;Actinomycetia;Actinomycetales;Actinomycetaceae;Schaalia;odontolytica346846703425290128154020317332052708325627512768373734883739489235653195221627392977367127013469943124910141082983948225267191305278175765864768100911801035285219347369294224
SP86Bacteria;Firmicutes;Negativicutes;Veillonellales;Veillonellaceae;Veillonella;atypica188724642230188520152413296224902356272126422685176413561393180114451337230834793829460031323543306739442867345742363573341528952871333231934758366740963497442643464552253733574632337037253956
SP87Bacteria;Firmicutes;Clostridia;Eubacteriales;Peptostreptococcaceae;Mogibacterium;diversum4665964663303464393514253143413253004634405358695804374735005256995547780000004813232937780000005637932812678
SP88Bacteria;Actinobacteria;Actinomycetia;Micrococcales;Micrococcaceae;Rothia;dentocariosa6339547505606008103353202754113173454815094165854944292233204054523134111234194915301303994119821412821818411510257562049440949949617479152204159110
SP89Bacteria;Firmicutes;Bacilli;Lactobacillales;Streptococcaceae;Streptococcus;sp. HMT07445882154240340051629228922327621519533832545451040830943539846550158557700141312000000024140213321211431481110
SP90Bacteria;Firmicutes;Bacilli;Lactobacillales;Streptococcaceae;Streptococcus;sp. HMT06413724491581221252491791392081621590000008791114116123135312803834351860771658740000430190115142200134138
SP91Bacteria;Firmicutes;Negativicutes;Veillonellales;Veillonellaceae;Megasphaera;micronuciformis41961448143944154674661352962864871456443651567650042065596511101092922977000161517205266201270196359001124122263789996449411061112
SP92Bacteria;Bacteroidetes;Bacteroidia;Bacteroidales;Prevotellaceae;Alloprevotella;sp. HMT30817232259156016111605191813171143109511881137127413951113117915041168998105217111780208714571676314227222323000021000190000160412730
SP94Bacteria;Firmicutes;Bacilli;Lactobacillales;Streptococcaceae;Streptococcus;sanguinis719108587359565382143547445748945442851444158271554849525931731842027733537175614506754214653472416491977190419732481237629083991284131593413307710711000138710839481020
SP96Bacteria;Firmicutes;Bacilli;Lactobacillales;Streptococcaceae;Streptococcus;downii8671491122893581011041352163212601506134412731291133315221875151112891416144416331919169017469111837779853192017172701582571732302092749028141713
SP98Bacteria;Firmicutes;Clostridia;Eubacteriales;Lachnospiraceae;Lachnoanaerobaculum;gingivalis12018521915823921819819215418715814610710413220192841302051852432032153103959000321196960460342254627210097895984111
SPN110Bacteria;Actinobacteria;Actinomycetia;Actinomycetales;Actinomycetaceae;Schaalia;sp. HMT180 nov_97.930%80114681008881233193160249203227000000230003637000000000000000000000000
SPN122Bacteria;Bacteroidetes;Bacteroidia;Bacteroidales;Prevotellaceae;Prevotella;jejuni_nov_97.755%0000001981872072502272300000000000000000000000039000000000000
SPN135Bacteria;Actinobacteria;Actinomycetia;Actinomycetales;Actinomycetaceae;Actinomyces;sp. HMT175 nov_97.746%0271191612796340366123000000243715612829001100015340915000000017160200
SPN142Bacteria;Bacteroidetes;Bacteroidia;Bacteroidales;Porphyromonadaceae;Porphyromonas;sp. HMT284 nov_96.516%000000000000000000000000000000126196198246158295000000000000
SPN147Bacteria;Proteobacteria;Gammaproteobacteria;Pasteurellales;Pasteurellaceae;Haemophilus;haemolyticus_nov_97.947%3552550395343202371111177931081495326558413100000000150000000000
SPN157Bacteria;Bacteroidetes;Bacteroidia;Bacteroidales;Prevotellaceae;Prevotella;histicola_nov_97.551%00000092929196107751390780000000000000000000000000000000
SPN168Bacteria;Actinobacteria;Actinomycetia;Corynebacteriales;Corynebacteriaceae;Corynebacterium;durum_nov_97.083%019150004029342847443402326130352936443045000000000000000000000000
SPN179Bacteria;Saccharibacteria_(TM7);Saccharibacteria_(TM7)_[C-1];Saccharibacteria_(TM7)_[O-1];Saccharibacteria_(TM7)_[F-1];Saccharibacteria_(TM7)_[G-6];bacterium HMT870 nov_96.994%000000108105608892113000000000000000000000000000000000000
SPN40Bacteria;Firmicutes;Tissierellia;Tissierellales;Peptoniphilaceae;Parvimonas;sp. HMT110 nov_97.684%0000000000000000000000000000002740315931180000000958910592103
SPN54Bacteria;Bacteroidetes;Bacteroidia;Bacteroidales;Prevotellaceae;Alloprevotella;sp. HMT473 nov_97.546%6137736455856107411621389919113816910808909171252101191512414116216815218900000000000000026510000000
SPN65Bacteria;Proteobacteria;Epsilonproteobacteria;Campylobacterales;Campylobacteraceae;Campylobacter;concisus_nov_97.831%0211311000000000013149600000063155997395111598919830103056014480000081093522464212
SPN77Bacteria;Firmicutes;Bacilli;Lactobacillales;Streptococcaceae;Streptococcus;sanguinis_nov_97.782%152133221836244557515040120151712837313935293280130123123132105341470382467503474233332232440202215295276212214
SPN88Bacteria;Firmicutes;Bacilli;Lactobacillales;Streptococcaceae;Streptococcus;parasanguinis_clade_411_nov_97.976%1862882481541412069613499105869651391110830128435541746044571417264516000000000003001918109
SPN99Bacteria;Bacteroidetes;Bacteroidia;Bacteroidales;Prevotellaceae;Prevotella;sp. HMT305 nov_93.865%13316313112012413210475099109881188110413010611110917516623312316500000076434237371820000006412716493164194
SPP1Bacteria;Fusobacteria;Fusobacteriia;Fusobacteriales;Fusobacteriaceae;Fusobacterium;multispecies_spp1_20000000750000000717100759800000000093571128056810000048000000
SPP14Bacteria;Proteobacteria;Gammaproteobacteria;Pasteurellales;Pasteurellaceae;Haemophilus;multispecies_spp14_2000000908710510286900000000000000000001526213079118305000000000000
SPP16Bacteria;Firmicutes;Clostridia;Eubacteriales;Lachnospiraceae;Oribacterium;multispecies_spp16_2192296263153215253131149181136170131217189235232188170248260254353286334000000000000000000000000
SPP17Bacteria;Firmicutes;Bacilli;Lactobacillales;Streptococcaceae;Streptococcus;multispecies_spp17_23791568744593028305340343406421832753372312829312474250932263951304026803672350439074789468747959610512311914211488509696108100131145136161159132139175222216119112
SPP18Bacteria;Firmicutes;Bacilli;Lactobacillales;Streptococcaceae;Streptococcus;multispecies_spp18_333053942725831233723624318416316015636425098454024627528630432038600170000000000000004905781062
SPP19Bacteria;Firmicutes;Bacilli;Lactobacillales;Streptococcaceae;Streptococcus;multispecies_spp19_202728220230000008560113106734843303542350000000000000000000000000
SPP2Bacteria;Firmicutes;Negativicutes;Veillonellales;Veillonellaceae;Veillonella;multispecies_spp2_270892485174379896410269118471060949932825628630820590630810119313251530115912407276110116851814787017906277030772690317527193550686875427125748281607366350034964053457235733522
SPP20Bacteria;Firmicutes;Bacilli;Lactobacillales;Streptococcaceae;Streptococcus;multispecies_spp20_2721341467266110304302600998911420411994343422373223000000000000000000000000
SPP21Bacteria;Proteobacteria;Gammaproteobacteria;Enterobacterales;Enterobacteriaceae;Shigella;multispecies_spp21_2000000000000000000000000000000000000008005990000000
SPP23Bacteria;Proteobacteria;Gammaproteobacteria;Enterobacterales;Enterobacteriaceae;multigenus;multispecies_spp23_200000000000000000000000000000000000000001981016012640302400
SPP24Bacteria;Firmicutes;Bacilli;Lactobacillales;Streptococcaceae;Streptococcus;multispecies_spp24_294415161245943896114981093676886269668310809431208153912151022750855939117510311068284535443156354940523523232925282158240823102997527640634118555458865591205221553291297227282574
SPP26Bacteria;Firmicutes;Bacilli;Bacillales;Staphylococcaceae;Staphylococcus;multispecies_spp26_30000000001100000000000000000000115475244560000000591736310081211
SPP27Bacteria;Firmicutes;Clostridia;Eubacteriales;Lachnospiraceae;Lachnoanaerobaculum;multispecies_spp27_26870352228790000009875567158653328324141331500000012500002023800000060
SPP3Bacteria;Firmicutes;Negativicutes;Veillonellales;Veillonellaceae;Veillonella;multispecies_spp3_383812519158248551151117411401002107610091065574587452612497448101714141480175113491475282367255340394304125158187187125179228217196260279257214239339250227242
SPP5Bacteria;Proteobacteria;Gammaproteobacteria;Pseudomonadales;Moraxellaceae;Acinetobacter;multispecies_spp5_2000000000000000000000000000000000002167000000000000
SPP8Bacteria;Proteobacteria;Gammaproteobacteria;Enterobacterales;Yersiniaceae;Serratia;multispecies_spp8_20000000000000000000000001461455028330100000000000000000000
SPPN1Bacteria;Firmicutes;Bacilli;Lactobacillales;Streptococcaceae;Streptococcus;multispecies_sppn1_2_nov_97.976%907127310008046869041221691091081028459158282093374558557846647461665268434242135513600000029610261924121437252419
SPPN9Bacteria;Firmicutes;Tissierellia;Tissierellales;Peptoniphilaceae;Parvimonas;multispecies_sppn9_2_nov_96.842%80137107496853241311222209237182575473124207140148149153173175204000000212217191773216717392468000000200221683006166832002640
 
 
Download OTU Tables at Different Taxonomy Levels
PhylumCount*: Relative**: CLR***:
ClassCount*: Relative**: CLR***:
OrderCount*: Relative**: CLR***:
FamilyCount*: Relative**: CLR***:
GenusCount*: Relative**: CLR***:
SpeciesCount*: Relative**: CLR***:
* Read count
** Relative abundance (count/total sample count)
*** Centered log ratio transformed abundance
;
 
The species listed in the table has full taxonomy and a dynamically assigned species ID specific to this report. When some reads match with the reference sequences of more than one species equally (i.e., same percent identiy and alignmnet coverage), they can't be assigned to a particular species. Instead, they are assigned to multiple species with the species notaton "s__multispecies_spp2_2". In this notation, spp2 is the dynamic ID assigned to these reads that hit multiple sequences and the "_2" at the end of the notation means there are two species in the spp2.

You can look up which species are included in the multi-species assignment, in this table below:
 
 
 
 
Another type of notation is "s__multispecies_sppn2_2", in which the "n" in the sppn2 means it's a potential novel species because all the reads in this species have < 98% idenity to any of the reference sequences. They were grouped together based on de novo OTU clustering at 98% identity cutoff. And then a representative sequence was chosed to BLASTN search against the reference database to find the closest match (but will still be < 98%). This representative sequence also matched equally to more than one species, hence the "spp" was given in the label.
 
 

Taxonomy Bar Plots for All Samples

 
 

Taxonomy Bar Plots for Individual Comparison Groups

 
 
Comparison No.Comparison NameFamiliesGeneraSpecies
Comparison 1Saliva vs BiofilmPDFSVGPDFSVGPDFSVG
Comparison 2Saliva_K vs Saliva_MPDFSVGPDFSVGPDFSVG
Comparison 3Biofilm_K vs Biofilm_MPDFSVGPDFSVGPDFSVG
Comparison 4Day1_Saliva_K vs Day2_Saliva_KPDFSVGPDFSVGPDFSVG
Comparison 5Day1_Saliva_M vs Day2_Saliva_MPDFSVGPDFSVGPDFSVG
Comparison 6Day1_Biofilm_K vs Day2_Biofilm_KPDFSVGPDFSVGPDFSVG
Comparison 7Day1_Biofilm_M vs Day2_Biofilm_MPDFSVGPDFSVGPDFSVG
Comparison 8Day1_Biofilm_K vs Day2_Biofilm_K vs Day1_Biofilm_M vs Day2_Biofilm_MPDFSVGPDFSVGPDFSVG
Comparison 9Day1_Saliva_K vs Day2_Saliva_K vs Day1_Saliva_M vs Day2_Saliva_MPDFSVGPDFSVGPDFSVG
Comparison 10Saliva_K vs Biofilm_KPDFSVGPDFSVGPDFSVG
Comparison 11Saliva_M vs Biofilm_MPDFSVGPDFSVGPDFSVG
 
 

VIII. Analysis - Alpha Diversity

 

In ecology, alpha diversity (α-diversity) is the mean species diversity in sites or habitats at a local scale. The term was introduced by R. H. Whittaker[5][6] together with the terms beta diversity (β-diversity) and gamma diversity (γ-diversity). Whittaker's idea was that the total species diversity in a landscape (gamma diversity) is determined by two different things, the mean species diversity in sites or habitats at a more local scale (alpha diversity) and the differentiation among those habitats (beta diversity).

 

References:

  1. Whittaker, R. H. (1960) Vegetation of the Siskiyou Mountains, Oregon and California. Ecological Monographs, 30, 279–338. doi:10.2307/1943563
  2. Whittaker, R. H. (1972). Evolution and Measurement of Species Diversity. Taxon, 21, 213-251. doi:10.2307/1218190

 

Alpha Diversity Analysis by Rarefaction

Diversity measures are affected by the sampling depth. Rarefaction is a technique to assess species richness from the results of sampling. Rarefaction allows the calculation of species richness for a given number of individual samples, based on the construction of so-called rarefaction curves. This curve is a plot of the number of species as a function of the number of samples. Rarefaction curves generally grow rapidly at first, as the most common species are found, but the curves plateau as only the rarest species remain to be sampled [7].


References:

  1. Willis AD. Rarefaction, Alpha Diversity, and Statistics. Front Microbiol. 2019 Oct 23;10:2407. doi: 10.3389/fmicb.2019.02407. PMID: 31708888; PMCID: PMC6819366.

 
 
 

Boxplot of Alpha-diversity Indices

The two main factors taken into account when measuring diversity are richness and evenness. Richness is a measure of the number of different kinds of organisms present in a particular area. Evenness compares the similarity of the population size of each of the species present. There are many different ways to measure the richness and evenness. These measurements are called "estimators" or "indices". Below is a diversity of 3 commonly used indices showing the values for all the samples (dots) and in groups (boxes) at the species level.

Printed on each graph is the statistical significance p values of the difference between the groups. The significance is calculated using either Kruskal-Wallis test or the Wilcoxon rank sum test, both are non-parametric methods (since microbiome read count data are considered non-normally distributed) for testing whether samples originate from the same distribution (i.e., no difference between groups). The Kruskal-Wallis test is used to compare three or more independent groups to determine if there are statistically significant differences between their medians. The Wilcoxon Rank Sum test, also known as the Mann-Whitney U test, is used to compare two independent groups to determine if there is a significant difference between their distributions.
The p-value is shown on the top of each graph. A p-value < 0.05 is considered statistically significant between/among the test groups.

 
Alpha Diversity Box Plots for All Groups - Species Level
 
 
 
 
 
 
 
 
 
Alpha Diversity Box Plots for Individual Comparisons at Species level
 
Comparison 1Saliva vs BiofilmView in PDFView in SVG
Comparison 2Saliva_K vs Saliva_MView in PDFView in SVG
Comparison 3Biofilm_K vs Biofilm_MView in PDFView in SVG
Comparison 4Day1_Saliva_K vs Day2_Saliva_KView in PDFView in SVG
Comparison 5Day1_Saliva_M vs Day2_Saliva_MView in PDFView in SVG
Comparison 6Day1_Biofilm_K vs Day2_Biofilm_KView in PDFView in SVG
Comparison 7Day1_Biofilm_M vs Day2_Biofilm_MView in PDFView in SVG
Comparison 8Day1_Biofilm_K vs Day2_Biofilm_K vs Day1_Biofilm_M vs Day2_Biofilm_MView in PDFView in SVG
Comparison 9Day1_Saliva_K vs Day2_Saliva_K vs Day1_Saliva_M vs Day2_Saliva_MView in PDFView in SVG
Comparison 10Saliva_K vs Biofilm_KView in PDFView in SVG
Comparison 11Saliva_M vs Biofilm_MView in PDFView in SVG
 
The above comparisons are at the species-level. Comparisons of other taxonomy levels, from phylum to genus, are also available:
 
 
 

IX. Analysis - Beta Diversity

 

NMDS and PCoA Plots

Beta diversity compares the similarity (or dissimilarity) of microbial profiles between different groups of samples. There are many different similarity/dissimilarity metrics [8]. In general, they can be quantitative (using sequence abundance, e.g., Bray-Curtis or weighted UniFrac) or binary (considering only presence-absence of sequences, e.g., binary Jaccard or unweighted UniFrac). They can be even based on phylogeny (e.g., UniFrac metrics) or not (non-UniFrac metrics, such as Bray-Curtis, etc.).

For microbiome studies, species profiles of samples can be compared with the Bray-Curtis dissimilarity, which is based on the count data type. The pair-wise Bray-Curtis dissimilarity matrix of all samples can then be subject to either multi-dimensional scaling (MDS, also known as PCoA) or non-metric MDS (NMDS).

MDS/PCoA is a scaling or ordination method that starts with a matrix of similarities or dissimilarities between a set of samples and aims to produce a low-dimensional graphical plot of the data in such a way that distances between points in the plot are close to original dissimilarities.

NMDS is similar to MDS, however it does not use the dissimilarities data, instead it converts them into the ranks and use these ranks in the calculation.

References:

  1. Plantinga, AM, Wu, MC (2021). Beta Diversity and Distance-Based Analysis of Microbiome Data. In: Datta, S., Guha, S. (eds) Statistical Analysis of Microbiome Data. Frontiers in Probability and the Statistical Sciences. Springer, Cham. https://doi.org/10.1007/978-3-030-73351-3_5

In our beta diversity analysis, Bray-Curtis dissimilarity matrix was first calculated and then plotted by the PCoA and NMDS separately. Below are beta diveristy results for all groups together, at the Species level:

 
 
NMDS and PCoA Plots for All Groups - Species Level
 
 
 
 
 

The above PCoA and NMDS plots are based on count data. The count data can also be transformed into centered log ratio (CLR) for each species. The CLR data is no longer count data and cannot be used in Bray-Curtis dissimilarity calculation. Instead CLR can be compared with Euclidean distances. When CLR data are compared by Euclidean distance, the distance is also called Aitchison distance.

Below are the NMDS and PCoA plots of the Aitchison distances of the samples at the Species level:

 
 
 
 
 
 
 
NMDS and PCoA Plots for Individual Comparisons at Species level
 
 
Comparison No.Comparison NameNMDAPCoA
Bray-CurtisCLR EuclideanBray-CurtisCLR Euclidean
Comparison 1Saliva vs BiofilmPDFSVGPDFSVGPDFSVGPDFSVG
Comparison 2Saliva_K vs Saliva_MPDFSVGPDFSVGPDFSVGPDFSVG
Comparison 3Biofilm_K vs Biofilm_MPDFSVGPDFSVGPDFSVGPDFSVG
Comparison 4Day1_Saliva_K vs Day2_Saliva_KPDFSVGPDFSVGPDFSVGPDFSVG
Comparison 5Day1_Saliva_M vs Day2_Saliva_MPDFSVGPDFSVGPDFSVGPDFSVG
Comparison 6Day1_Biofilm_K vs Day2_Biofilm_KPDFSVGPDFSVGPDFSVGPDFSVG
Comparison 7Day1_Biofilm_M vs Day2_Biofilm_MPDFSVGPDFSVGPDFSVGPDFSVG
Comparison 8Day1_Biofilm_K vs Day2_Biofilm_K vs Day1_Biofilm_M vs Day2_Biofilm_MPDFSVGPDFSVGPDFSVGPDFSVG
Comparison 9Day1_Saliva_K vs Day2_Saliva_K vs Day1_Saliva_M vs Day2_Saliva_MPDFSVGPDFSVGPDFSVGPDFSVG
Comparison 10Saliva_K vs Biofilm_KPDFSVGPDFSVGPDFSVGPDFSVG
Comparison 11Saliva_M vs Biofilm_MPDFSVGPDFSVGPDFSVGPDFSVG
 
 
 
 
 
 

Interactive 3D PCoA Plots - Bray-Curtis Dissimilarity

 
 
 

Interactive 3D PCoA Plots - Euclidean Distance

 
 
 

Interactive 3D PCoA Plots - Correlation Coefficients

 
 
 

X. Analysis - Differential Abundance

16S rRNA next generation sequencing (NGS) generates a fixed number of reads that reflect the proportion of different species in a sample, i.e., the relative abundance of species, instead of the absolute abundance. In Mathematics, measurements involving probabilities, proportions, percentages, and ppm can all be thought of as compositional data. This makes the microbiome read count data “compositional” (Gloor et al, 2017). In general, compositional data represent parts of a whole which only carry relative information [9].

The problem of microbiome data being compositional arises when comparing two groups of samples for identifying “differentially abundant” species. A species with the same absolute abundance between two conditions, its relative abundances in the two conditions (e.g., percent abundance) can become different if the relative abundance of other species change greatly. This problem can lead to incorrect conclusion in terms of differential abundance for microbial species in the samples.

When studying differential abundance (DA), the current better approach is to transform the read count data into log ratio data. The ratios are calculated between read counts of all species in a sample to a “reference” count (e.g., mean read count of the sample). The log ratio data allow the detection of DA species without being affected by percentage bias mentioned above

In this report, a compositional DA analysis tool “ANCOM” (analysis of composition of microbiomes) was used [10]. ANCOM transforms the count data into log-ratios and thus is more suitable for comparing the composition of microbiomes in two or more populations. "ANCOM" generates a table of features with W-statistics and whether the null hypothesis is rejected. The “W” is the W-statistic, or number of features that a single feature is tested to be significantly different against. Hence the higher the "W" the more statistical sifgnificant that a feature/species is differentially abundant.

References:

  1. Gloor GB, Macklaim JM, Pawlowsky-Glahn V, Egozcue JJ. Microbiome Datasets Are Compositional: And This Is Not Optional. Front Microbiol. 2017 Nov 15;8:2224. doi: 10.3389/fmicb.2017.02224. PMID: 29187837; PMCID: PMC5695134.
  2. Mandal S, Van Treuren W, White RA, Eggesbø M, Knight R, Peddada SD. Analysis of composition of microbiomes: a novel method for studying microbial composition. Microb Ecol Health Dis. 2015 May 29;26:27663. doi: 10.3402/mehd.v26.27663. PMID: 26028277; PMCID: PMC4450248.
 
 

ANCOM Differential Abundance Analysis

 
ANCOM Results for Individual Comparisons
Comparison No.Comparison Name
Comparison 1.Saliva vs Biofilm
Comparison 2.Saliva_K vs Saliva_M
Comparison 3.Biofilm_K vs Biofilm_M
Comparison 4.Day1_Saliva_K vs Day2_Saliva_K
Comparison 5.Day1_Saliva_M vs Day2_Saliva_M
Comparison 6.Day1_Biofilm_K vs Day2_Biofilm_K
Comparison 7.Day1_Biofilm_M vs Day2_Biofilm_M
Comparison 8.Day1_Biofilm_K vs Day2_Biofilm_K vs Day1_Biofilm_M vs Day2_Biofilm_M
Comparison 9.Day1_Saliva_K vs Day2_Saliva_K vs Day1_Saliva_M vs Day2_Saliva_M
Comparison 10.Saliva_K vs Biofilm_K
Comparison 11.Saliva_M vs Biofilm_M
 
 

ANCOM-BC2 Differential Abundance Analysis

 

Starting with version V1.2, we include the results of ANCOM-BC (Analysis of Compositions of Microbiomes with Bias Correction) (Lin and Peddada 2020) [11]. ANCOM-BC is an updated version of "ANCOM" that:
(a) provides statistically valid test with appropriate p-values,
(b) provides confidence intervals for differential abundance of each taxon,
(c) controls the False Discovery Rate (FDR),
(d) maintains adequate power, and
(e) is computationally simple to implement.

The bias correction (BC) addresses a challenging problem of the bias introduced by differences in the sampling fractions across samples. This bias has been a major hurdle in performing DA analysis of microbiome data. ANCOM-BC estimates the unknown sampling fractions and corrects the bias induced by their differences among samples. The absolute abundance data are modeled using a linear regression framework.

Starting with version V1.43, ANCOM-BC2 is used instead of ANCOM-BC, So that multiple pairwise directional test can be performed (if there are more than two gorups in a comparison). When performing pairwise directional test, the mixed directional false discover rate (mdFDR) is taken into account. The mdFDR is the combination of false discovery rate due to multiple testing, multiple pairwise comparisons, and directional tests within each pairwise comparison. The mdFDR is adopted from (Guo, Sarkar, and Peddada 2010 [12]; Grandhi, Guo, and Peddada 2016 [13]). For more detail explanation and additional features of ANCOM-BC2 please see author's documentation.

References:

  1. Lin H, Peddada SD. Analysis of compositions of microbiomes with bias correction. Nat Commun. 2020 Jul 14;11(1):3514. doi: 10.1038/s41467-020-17041-7. PMID: 32665548; PMCID: PMC7360769.
  2. Guo W, Sarkar SK, Peddada SD. Controlling false discoveries in multidimensional directional decisions, with applications to gene expression data on ordered categories. Biometrics. 2010 Jun;66(2):485-92. doi: 10.1111/j.1541-0420.2009.01292.x. Epub 2009 Jul 23. PMID: 19645703; PMCID: PMC2895927.
  3. Grandhi A, Guo W, Peddada SD. A multiple testing procedure for multi-dimensional pairwise comparisons with application to gene expression studies. BMC Bioinformatics. 2016 Feb 25;17:104. doi: 10.1186/s12859-016-0937-5. PMID: 26917217; PMCID: PMC4768411.
 
 
ANCOM-BC Results for Individual Comparisons
 
Comparison No.Comparison Name
Comparison 1.Saliva vs Biofilm
Comparison 2.Saliva_K vs Saliva_M
Comparison 3.Biofilm_K vs Biofilm_M
Comparison 4.Day1_Saliva_K vs Day2_Saliva_K
Comparison 5.Day1_Saliva_M vs Day2_Saliva_M
Comparison 6.Day1_Biofilm_K vs Day2_Biofilm_K
Comparison 7.Day1_Biofilm_M vs Day2_Biofilm_M
Comparison 8.Day1_Biofilm_K vs Day2_Biofilm_K vs Day1_Biofilm_M vs Day2_Biofilm_M
Comparison 9.Day1_Saliva_K vs Day2_Saliva_K vs Day1_Saliva_M vs Day2_Saliva_M
Comparison 10.Saliva_K vs Biofilm_K
Comparison 11.Saliva_M vs Biofilm_M
 
 
 
 
 

LEfSe - Linear Discriminant Analysis Effect Size

LEfSe (Linear Discriminant Analysis Effect Size) is an alternative method to find "organisms, genes, or pathways that consistently explain the differences between two or more microbial communities" (Segata et al., 2011) [14]. Specifically, LEfSe uses rank-based Kruskal-Wallis (KW) sum-rank test to detect features with significant differential (relative) abundance with respect to the class of interest. Since it is rank-based, instead of proportional based, the differential species identified among the comparison groups is less biased (than percent abundance based).

Reference:

  1. Segata N, Izard J, Waldron L, Gevers D, Miropolsky L, Garrett WS, Huttenhower C. Metagenomic biomarker discovery and explanation. Genome Biol. 2011 Jun 24;12(6):R60. doi: 10.1186/gb-2011-12-6-r60. PMID: 21702898; PMCID: PMC3218848.
 
Saliva vs Biofilm
 
 
 
 
 
 
 
LEfSe Results for All Comparisons
 
Comparison No.Comparison Name
Comparison 1.Saliva vs Biofilm
Comparison 2.Saliva_K vs Saliva_M
Comparison 3.Biofilm_K vs Biofilm_M
Comparison 4.Day1_Saliva_K vs Day2_Saliva_K
Comparison 5.Day1_Saliva_M vs Day2_Saliva_M
Comparison 6.Day1_Biofilm_K vs Day2_Biofilm_K
Comparison 7.Day1_Biofilm_M vs Day2_Biofilm_M
Comparison 8.Day1_Biofilm_K vs Day2_Biofilm_K vs Day1_Biofilm_M vs Day2_Biofilm_M
Comparison 9.Day1_Saliva_K vs Day2_Saliva_K vs Day1_Saliva_M vs Day2_Saliva_M
Comparison 10.Saliva_K vs Biofilm_K
Comparison 11.Saliva_M vs Biofilm_M
 
 

XI. Analysis - Heatmap Profile

 

Species vs Sample Abundance Heatmap for All Samples

 
 
 

Heatmaps for Individual Comparisons

 
A) Two-way clustering - clustered on both columns (Samples) and rows (organism)
Comparison No.Comparison NameFamily LevelGenus LevelSpecies Level
Comparison 1Saliva vs BiofilmPDFSVGPDFSVGPDFSVG
Comparison 2Saliva_K vs Saliva_MPDFSVGPDFSVGPDFSVG
Comparison 3Biofilm_K vs Biofilm_MPDFSVGPDFSVGPDFSVG
Comparison 4Day1_Saliva_K vs Day2_Saliva_KPDFSVGPDFSVGPDFSVG
Comparison 5Day1_Saliva_M vs Day2_Saliva_MPDFSVGPDFSVGPDFSVG
Comparison 6Day1_Biofilm_K vs Day2_Biofilm_KPDFSVGPDFSVGPDFSVG
Comparison 7Day1_Biofilm_M vs Day2_Biofilm_MPDFSVGPDFSVGPDFSVG
Comparison 8Day1_Biofilm_K vs Day2_Biofilm_K vs Day1_Biofilm_M vs Day2_Biofilm_MPDFSVGPDFSVGPDFSVG
Comparison 9Day1_Saliva_K vs Day2_Saliva_K vs Day1_Saliva_M vs Day2_Saliva_MPDFSVGPDFSVGPDFSVG
Comparison 10Saliva_K vs Biofilm_KPDFSVGPDFSVGPDFSVG
Comparison 11Saliva_M vs Biofilm_MPDFSVGPDFSVGPDFSVG
 
 
B) One-way clustering - clustered on rows (organism) only
Comparison No.Comparison NameFamily LevelGenus LevelSpecies Level
Comparison 1Saliva vs BiofilmPDFSVGPDFSVGPDFSVG
Comparison 2Saliva_K vs Saliva_MPDFSVGPDFSVGPDFSVG
Comparison 3Biofilm_K vs Biofilm_MPDFSVGPDFSVGPDFSVG
Comparison 4Day1_Saliva_K vs Day2_Saliva_KPDFSVGPDFSVGPDFSVG
Comparison 5Day1_Saliva_M vs Day2_Saliva_MPDFSVGPDFSVGPDFSVG
Comparison 6Day1_Biofilm_K vs Day2_Biofilm_KPDFSVGPDFSVGPDFSVG
Comparison 7Day1_Biofilm_M vs Day2_Biofilm_MPDFSVGPDFSVGPDFSVG
Comparison 8Day1_Biofilm_K vs Day2_Biofilm_K vs Day1_Biofilm_M vs Day2_Biofilm_MPDFSVGPDFSVGPDFSVG
Comparison 9Day1_Saliva_K vs Day2_Saliva_K vs Day1_Saliva_M vs Day2_Saliva_MPDFSVGPDFSVGPDFSVG
Comparison 10Saliva_K vs Biofilm_KPDFSVGPDFSVGPDFSVG
Comparison 11Saliva_M vs Biofilm_MPDFSVGPDFSVGPDFSVG
 
 
C) No clustering
Comparison No.Comparison NameFamily LevelGenus LevelSpecies Level
Comparison 1Saliva vs BiofilmPDFSVGPDFSVGPDFSVG
Comparison 2Saliva_K vs Saliva_MPDFSVGPDFSVGPDFSVG
Comparison 3Biofilm_K vs Biofilm_MPDFSVGPDFSVGPDFSVG
Comparison 4Day1_Saliva_K vs Day2_Saliva_KPDFSVGPDFSVGPDFSVG
Comparison 5Day1_Saliva_M vs Day2_Saliva_MPDFSVGPDFSVGPDFSVG
Comparison 6Day1_Biofilm_K vs Day2_Biofilm_KPDFSVGPDFSVGPDFSVG
Comparison 7Day1_Biofilm_M vs Day2_Biofilm_MPDFSVGPDFSVGPDFSVG
Comparison 8Day1_Biofilm_K vs Day2_Biofilm_K vs Day1_Biofilm_M vs Day2_Biofilm_MPDFSVGPDFSVGPDFSVG
Comparison 9Day1_Saliva_K vs Day2_Saliva_K vs Day1_Saliva_M vs Day2_Saliva_MPDFSVGPDFSVGPDFSVG
Comparison 10Saliva_K vs Biofilm_KPDFSVGPDFSVGPDFSVG
Comparison 11Saliva_M vs Biofilm_MPDFSVGPDFSVGPDFSVG
 
 

XII. Analysis - Network Association

To analyze the co-occurrence or co-exclusion between microbial species among different samples, network correlation analysis tools are usually used for this purpose. However, microbiome count data are compositional. If count data are normalized to the total number of counts in the sample, the data become not independent and traditional statistical metrics (e.g., correlation) for the detection of specie-species relationships can lead to spurious results. In addition, sequencing-based studies typically measure hundreds of OTUs (species) on few samples; thus, inference of OTU-OTU association networks is severely under-powered. We provide the network association result with SparCC (Sparse Correlations for Compositional data)(Friedman & Alm 2012), which is a method for inferring correlations from compositional data. SparCC estimates the linear Pearson correlations between the log-transformed components.


References:

Friedman J, Alm EJ. Inferring correlation networks from genomic survey data. PLoS Comput Biol. 2012;8(9):e1002687. doi: 10.1371/journal.pcbi.1002687. Epub 2012 Sep 20. PMID: 23028285; PMCID: PMC3447976.

 

Association Network Inference by SparCC

 

 

 
 

XIII. Disclaimer

The results of this analysis are for research purpose only. They are not intended to diagnose, treat, cure, or prevent any disease. Forsyth and FOMC are not responsible for use of information provided in this report outside the research area.

 

Copyright FOMC 2026