FOMC Service Report

16S rRNA Gene V1V3 Amplicon Sequencing

Version V1.43

Version History

The Forsyth Institute, Cambridge, MA, USA
September 19, 2024

Project ID: FOMC0000_Akshara


I. Project Summary

Project FOMC0000_Akshara services include NGS sequencing of the V1V3 region of the 16S rRNA gene amplicons from the samples. First and foremost, please download this report, as well as the sequence raw data from the download links provided below. These links will expire after 60 days. We cannot guarantee the availability of your data after 60 days.

Full Bioinformatics analysis service was requested. We provide many analyses, starting from the raw sequence quality and noise filtering, pair reads merging, as well as chimera filtering for the sequences, using the DADA2 denosing algorithm and pipeline.

We also provide many downstream analyses such as taxonomy assignment, alpha and beta diversity analyses, and differential abundance analysis.

For taxonomy assignment, most informative would be the taxonomy barplots. We provide an interactive barplots to show the relative abundance of microbes at different taxonomy levels (from Phylum to species) that you can choose.

If you specify which groups of samples you want to compare for differential abundance, we provide both ANCOM and LEfSe differential abundance analysis.

 

II. Workflow Checklist

1.Sample Received
2.Sample Quality Evaluated
3.Sample Prepared for Sequencing
4.Next-Gen Sequencing
5.Sequence Quality Check
6.Absolute Abundance
7.Report and Raw Sequence Data Available for Download
8.Bioinformatics Analysis - Reads Processing (DADA2 Quality Trimming, Denoising, Paired Reads Merging)
9.Bioinformatics Analysis - Reads Taxonomy Assignment
10.Bioinformatics Analysis - Alpha Diversity Analysis
11.Bioinformatics Analysis - Beta Diversity Analysis
12.Bioinformatics Analysis - Differential Abundance Analysis
13.Bioinformatics Analysis - Heatmap Profile
14.Bioinformatics Analysis - Network Association
 

III. NGS Sequencing

The samples were processed and analyzed with the ZymoBIOMICS® Service: Targeted Metagenomic Sequencing (Zymo Research, Irvine, CA).

DNA Extraction: If DNA extraction was performed, one of three different DNA extraction kits was used depending on the sample type and sample volume and were used according to the manufacturer’s instructions, unless otherwise stated. The kit used in this project is marked below:

ZymoBIOMICS® DNA Miniprep Kit (Zymo Research, Irvine, CA)
ZymoBIOMICS® DNA Microprep Kit (Zymo Research, Irvine, CA)
ZymoBIOMICS®-96 MagBead DNA Kit (Zymo Research, Irvine, CA)
N/A (DNA Extraction Not Performed)
Elution Volume: 50µL
Additional Notes: NA

Targeted Library Preparation: The DNA samples were prepared for targeted sequencing with the Quick-16S™ NGS Library Prep Kit (Zymo Research, Irvine, CA). These primers were custom designed by Zymo Research to provide the best coverage of the 16S gene while maintaining high sensitivity. The primer sets used in this project are marked below:

Quick-16S™ Primer Set V1-V2 (Zymo Research, Irvine, CA)
Quick-16S™ Primer Set V1-V3 (Zymo Research, Irvine, CA)
Quick-16S™ Primer Set V3-V4 (Zymo Research, Irvine, CA)
Quick-16S™ Primer Set V4 (Zymo Research, Irvine, CA)
Quick-16S™ Primer Set V6-V8 (Zymo Research, Irvine, CA)
Other: NA
Additional Notes: NA

The sequencing library was prepared using an innovative library preparation process in which PCR reactions were performed in real-time PCR machines to control cycles and therefore limit PCR chimera formation. The final PCR products were quantified with qPCR fluorescence readings and pooled together based on equal molarity. The final pooled library was cleaned up with the Select-a-Size DNA Clean & Concentrator™ (Zymo Research, Irvine, CA), then quantified with TapeStation® (Agilent Technologies, Santa Clara, CA) and Qubit® (Thermo Fisher Scientific, Waltham, WA).

Control Samples: The ZymoBIOMICS® Microbial Community Standard (Zymo Research, Irvine, CA) was used as a positive control for each DNA extraction, if performed. The ZymoBIOMICS® Microbial Community DNA Standard (Zymo Research, Irvine, CA) was used as a positive control for each targeted library preparation. Negative controls (i.e. blank extraction control, blank library preparation control) were included to assess the level of bioburden carried by the wet-lab process.

Sequencing: The final library was sequenced on Illumina® MiSeq™ with a V3 reagent kit (600 cycles). The sequencing was performed with 10% PhiX spike-in.

Absolute Abundance Quantification*: A quantitative real-time PCR was set up with a standard curve. The standard curve was made with plasmid DNA containing one copy of the 16S gene and one copy of the fungal ITS2 region prepared in 10-fold serial dilutions. The primers used were the same as those used in Targeted Library Preparation. The equation generated by the plasmid DNA standard curve was used to calculate the number of gene copies in the reaction for each sample. The PCR input volume (2 µl) was used to calculate the number of gene copies per microliter in each DNA sample.
The number of genome copies per microliter DNA sample was calculated by dividing the gene copy number by an assumed number of gene copies per genome. The value used for 16S copies per genome is 4. The value used for ITS copies per genome is 200. The amount of DNA per microliter DNA sample was calculated using an assumed genome size of 4.64 x 106 bp, the genome size of Escherichia coli, for 16S samples, or an assumed genome size of 1.20 x 107 bp, the genome size of Saccharomyces cerevisiae, for ITS samples. This calculation is shown below:

Calculated Total DNA = Calculated Total Genome Copies × Assumed Genome Size (4.64 × 106 bp) ×
Average Molecular Weight of a DNA bp (660 g/mole/bp) ÷ Avogadro’s Number (6.022 x 1023/mole)


* Absolute Abundance Quantification is only available for 16S and ITS analyses.

The absolute abundance standard curve data can be viewed in Excel here:

The absolute abundance standard curve is shown below:

Absolute Abundance Standard Curve

 

IV. Complete Report Download

The complete report of your project, including all links in this report, can be downloaded by clicking the link provided below. The downloaded file is a compressed ZIP file and once unzipped, open the file “REPORT.html” (may only shown as "REPORT" in your computer) by double clicking it. Your default web browser will open it and you will see the exact content of this report.

Please download and save the file to your computer storage device. The download link will expire after 60 days upon your receiving of this report.

Complete report download link:

To view the report, please follow the following steps:
1.Download the .zip file from the report link above.
2.Extract all the contents of the downloaded .zip file to your desktop.
3.Open the extracted folder and find the "REPORT.html" (may shown as only "REPORT").
4.Open (double-clicking) the REPORT.html file. Your default browser will open the top age of the complete report. Within the report, there are links to view all the analyses performed for the project.

 

V. Raw Sequence Data Download

The raw NGS sequence data is available for download with the link provided below. The data is a compressed ZIP file and can be unzipped to individual sequence files. Since this is a pair-end sequencing, each of your samples is represented by two sequence files, one for READ 1, with the file extension “*_R1.fastq.gz”, another READ 2, with the file extension “*_R1.fastq.gz”. The files are in FASTQ format and are compressed. FASTQ format is a text-based data format for storing both a biological sequence and its corresponding quality scores. Most sequence analysis software will be able to open them. The Sample IDs associated with the R1 and R2 fastq files are listed in the table below:

Sample IDOriginal Sample IDRead 1 File NameRead 2 File Name
F0000.S10original sample ID herebatch3-10_R1.fastq.gzbatch3-10_R2.fastq.gz
F0000.S11original sample ID herebatch3-11_R1.fastq.gzbatch3-11_R2.fastq.gz
F0000.S12original sample ID herebatch3-12_R1.fastq.gzbatch3-12_R2.fastq.gz
F0000.S13original sample ID herebatch3-13_R1.fastq.gzbatch3-13_R2.fastq.gz
F0000.S14original sample ID herebatch3-14_R1.fastq.gzbatch3-14_R2.fastq.gz
F0000.S15original sample ID herebatch3-15_R1.fastq.gzbatch3-15_R2.fastq.gz
F0000.S16original sample ID herebatch3-16_R1.fastq.gzbatch3-16_R2.fastq.gz
F0000.S17original sample ID herebatch3-17_R1.fastq.gzbatch3-17_R2.fastq.gz
F0000.S18original sample ID herebatch3-18_R1.fastq.gzbatch3-18_R2.fastq.gz
F0000.S19original sample ID herebatch3-19_R1.fastq.gzbatch3-19_R2.fastq.gz
F0000.S01original sample ID herebatch3-1_R1.fastq.gzbatch3-1_R2.fastq.gz
F0000.S20original sample ID herebatch3-20_R1.fastq.gzbatch3-20_R2.fastq.gz
F0000.S21original sample ID herebatch3-21_R1.fastq.gzbatch3-21_R2.fastq.gz
F0000.S22original sample ID herebatch3-22_R1.fastq.gzbatch3-22_R2.fastq.gz
F0000.S23original sample ID herebatch3-23_R1.fastq.gzbatch3-23_R2.fastq.gz
F0000.S24original sample ID herebatch3-24_R1.fastq.gzbatch3-24_R2.fastq.gz
F0000.S25original sample ID herebatch3-25_R1.fastq.gzbatch3-25_R2.fastq.gz
F0000.S26original sample ID herebatch3-26_R1.fastq.gzbatch3-26_R2.fastq.gz
F0000.S27original sample ID herebatch3-27_R1.fastq.gzbatch3-27_R2.fastq.gz
F0000.S28original sample ID herebatch3-28_R1.fastq.gzbatch3-28_R2.fastq.gz
F0000.S29original sample ID herebatch3-29_R1.fastq.gzbatch3-29_R2.fastq.gz
F0000.S02original sample ID herebatch3-2_R1.fastq.gzbatch3-2_R2.fastq.gz
F0000.S30original sample ID herebatch3-30_R1.fastq.gzbatch3-30_R2.fastq.gz
F0000.S31original sample ID herebatch3-31_R1.fastq.gzbatch3-31_R2.fastq.gz
F0000.S32original sample ID herebatch3-32_R1.fastq.gzbatch3-32_R2.fastq.gz
F0000.S33original sample ID herebatch3-33_R1.fastq.gzbatch3-33_R2.fastq.gz
F0000.S34original sample ID herebatch3-34_R1.fastq.gzbatch3-34_R2.fastq.gz
F0000.S35original sample ID herebatch3-35_R1.fastq.gzbatch3-35_R2.fastq.gz
F0000.S36original sample ID herebatch3-36_R1.fastq.gzbatch3-36_R2.fastq.gz
F0000.S37original sample ID herebatch3-37_R1.fastq.gzbatch3-37_R2.fastq.gz
F0000.S38original sample ID herebatch3-38_R1.fastq.gzbatch3-38_R2.fastq.gz
F0000.S39original sample ID herebatch3-39_R1.fastq.gzbatch3-39_R2.fastq.gz
F0000.S03original sample ID herebatch3-3_R1.fastq.gzbatch3-3_R2.fastq.gz
F0000.S40original sample ID herebatch3-40_R1.fastq.gzbatch3-40_R2.fastq.gz
F0000.S41original sample ID herebatch3-41_R1.fastq.gzbatch3-41_R2.fastq.gz
F0000.S42original sample ID herebatch3-42_R1.fastq.gzbatch3-42_R2.fastq.gz
F0000.S43original sample ID herebatch3-43_R1.fastq.gzbatch3-43_R2.fastq.gz
F0000.S44original sample ID herebatch3-44_R1.fastq.gzbatch3-44_R2.fastq.gz
F0000.S45original sample ID herebatch3-45_R1.fastq.gzbatch3-45_R2.fastq.gz
F0000.S46original sample ID herebatch3-46_R1.fastq.gzbatch3-46_R2.fastq.gz
F0000.S47original sample ID herebatch3-47_R1.fastq.gzbatch3-47_R2.fastq.gz
F0000.S48original sample ID herebatch3-48_R1.fastq.gzbatch3-48_R2.fastq.gz
F0000.S49original sample ID herebatch3-49_R1.fastq.gzbatch3-49_R2.fastq.gz
F0000.S04original sample ID herebatch3-4_R1.fastq.gzbatch3-4_R2.fastq.gz
F0000.S50original sample ID herebatch3-50_R1.fastq.gzbatch3-50_R2.fastq.gz
F0000.S51original sample ID herebatch3-51_R1.fastq.gzbatch3-51_R2.fastq.gz
F0000.S52original sample ID herebatch3-52_R1.fastq.gzbatch3-52_R2.fastq.gz
F0000.S53original sample ID herebatch3-53_R1.fastq.gzbatch3-53_R2.fastq.gz
F0000.S54original sample ID herebatch3-54_R1.fastq.gzbatch3-54_R2.fastq.gz
F0000.S55original sample ID herebatch3-55_R1.fastq.gzbatch3-55_R2.fastq.gz
F0000.S56original sample ID herebatch3-56_R1.fastq.gzbatch3-56_R2.fastq.gz
F0000.S57original sample ID herebatch3-57_R1.fastq.gzbatch3-57_R2.fastq.gz
F0000.S58original sample ID herebatch3-58_R1.fastq.gzbatch3-58_R2.fastq.gz
F0000.S59original sample ID herebatch3-59_R1.fastq.gzbatch3-59_R2.fastq.gz
F0000.S05original sample ID herebatch3-5_R1.fastq.gzbatch3-5_R2.fastq.gz
F0000.S60original sample ID herebatch3-60_R1.fastq.gzbatch3-60_R2.fastq.gz
F0000.S61original sample ID herebatch3-61_R1.fastq.gzbatch3-61_R2.fastq.gz
F0000.S62original sample ID herebatch3-62_R1.fastq.gzbatch3-62_R2.fastq.gz
F0000.S63original sample ID herebatch3-63_R1.fastq.gzbatch3-63_R2.fastq.gz
F0000.S64original sample ID herebatch3-64_R1.fastq.gzbatch3-64_R2.fastq.gz
F0000.S65original sample ID herebatch3-65_R1.fastq.gzbatch3-65_R2.fastq.gz
F0000.S66original sample ID herebatch3-66_R1.fastq.gzbatch3-66_R2.fastq.gz
F0000.S06original sample ID herebatch3-6_R1.fastq.gzbatch3-6_R2.fastq.gz
F0000.S07original sample ID herebatch3-7_R1.fastq.gzbatch3-7_R2.fastq.gz
F0000.S08original sample ID herebatch3-8_R1.fastq.gzbatch3-8_R2.fastq.gz
F0000.S09original sample ID herebatch3-9_R1.fastq.gzbatch3-9_R2.fastq.gz

Please download and save the file to your computer storage device. The download link will expire after 60 days upon your receiving of this report.

Raw sequence data download link:

 

VI. Analysis - DADA2 Read Processing

What is DADA2?

DADA2 is a software package that models and corrects Illumina-sequenced amplicon errors. DADA2 infers sample sequences exactly, without coarse-graining into OTUs, and resolves differences of as little as one nucleotide. DADA2 identified more real variants and output fewer spurious sequences than other methods.

DADA2’s advantage is that it uses more of the data. The DADA2 error model incorporates quality information, which is ignored by all other methods after filtering. The DADA2 error model incorporates quantitative abundances, whereas most other methods use abundance ranks if they use abundance at all. The DADA2 error model identifies the differences between sequences, eg. A->C, whereas other methods merely count the mismatches. DADA2 can parameterize its error model from the data itself, rather than relying on previous datasets that may or may not reflect the PCR and sequencing protocols used in your study.

DADA2 Publication: Callahan BJ, McMurdie PJ, Rosen MJ, Han AW, Johnson AJ, Holmes SP. DADA2: High-resolution sample inference from Illumina amplicon data. Nat Methods. 2016 Jul;13(7):581-3. doi: 10.1038/nmeth.3869. Epub 2016 May 23. PMID: 27214047; PMCID: PMC4927377.

DADA2 Software Package is available as an R package at : https://benjjneb.github.io/dada2/index.html

Analysis Procedures:

DADA2 pipeline includes several tools for read quality control, including quality filtering, trimming, denoising, pair merging and chimera filtering. Below are the major processing steps of DADA2:

Step 1. Read trimming based on sequence quality The quality of NGS Illumina sequences often decreases toward the end of the reads. DADA2 allows to trim off the poor quality read ends in order to improve the error model building and pair mergicing performance.

Step 2. Learn the Error Rates The DADA2 algorithm makes use of a parametric error model (err) and every amplicon dataset has a different set of error rates. The learnErrors method learns this error model from the data, by alternating estimation of the error rates and inference of sample composition until they converge on a jointly consistent solution. As in many machine-learning problems, the algorithm must begin with an initial guess, for which the maximum possible error rates in this data are used (the error rates if only the most abundant sequence is correct and all the rest are errors).

Step 3. Infer amplicon sequence variants (ASVs) based on the error model built in previous step. This step is also called sequence "denoising". The outcome of this step is a list of ASVs that are the equivalent of oligonucleotides.

Step 4. Merge paired reads. If the sequencing products are read pairs, DADA2 will merge the R1 and R2 ASVs into single sequences. Merging is performed by aligning the denoised forward reads with the reverse-complement of the corresponding denoised reverse reads, and then constructing the merged “contig” sequences. By default, merged sequences are only output if the forward and reverse reads overlap by at least 12 bases, and are identical to each other in the overlap region (but these conditions can be changed via function arguments).

Step 5. Remove chimera. The core dada method corrects substitution and indel errors, but chimeras remain. Fortunately, the accuracy of sequence variants after denoising makes identifying chimeric ASVs simpler than when dealing with fuzzy OTUs. Chimeric sequences are identified if they can be exactly reconstructed by combining a left-segment and a right-segment from two more abundant “parent” sequences. The frequency of chimeric sequences varies substantially from dataset to dataset, and depends on on factors including experimental procedures and sample complexity.

Results

1. Read Quality Plots NGS sequence analaysis starts with visualizing the quality of the sequencing. Below are the quality plots of the first sample for the R1 and R2 reads separately. In gray-scale is a heat map of the frequency of each quality score at each base position. The mean quality score at each position is shown by the green line, and the quartiles of the quality score distribution by the orange lines. The forward reads are usually of better quality. It is a common practice to trim the last few nucleotides to avoid less well-controlled errors that can arise there. The trimming affects the downstream steps including error model building, merging and chimera calling. FOMC uses an empirical approach to test many combinations of different trim length in order to achieve best final amplicon sequence variants (ASVs), see the next section “Optimal trim length for ASVs”.

Quality plots for all samples:

2. Optimal trim length for ASVs The final number of merged and chimera-filtered ASVs depends on the quality filtering (hence trimming) in the very beginning of the DADA2 pipeline. In order to achieve highest number of ASVs, an empirical approach was used -

  1. Create a random subset of each sample consisting of 5,000 R1 and 5,000 R2 (to reduce computation time)
  2. Trim 10 bases at a time from the ends of both R1 and R2 up to 50 bases
  3. For each combination of trimmed length (e.g., 300x300, 300x290, 290x290 etc), the trimmed reads are subject to the entire DADA2 pipeline for chimera-filtered merged ASVs
  4. The combination with highest percentage of the input reads becoming final ASVs is selected for the complete set of data

Below is the result of such operation, showing ASV percentages of total reads for all trimming combinations (1st Column = R1 lengths in bases; 1st Row = R2 lengths in bases):

R1/R2301291281271261251
30127.13%27.18%27.04%27.23%28.21%24.72%
29126.96%27.04%26.91%27.33%23.41%6.13%
28127.69%27.84%27.79%22.11%6.03%4.87%
27129.13%29.24%23.53%6.17%4.96%3.64%
26129.52%23.53%6.19%4.88%3.40%1.84%
25124.54%6.54%5.37%3.67%1.85%1.63%

Based on the above result, the trim length combination of R1 = 261 bases and R2 = 301 bases (highlighted red above), was chosen for generating final ASVs for all sequences. This combination generated highest number of merged non-chimeric ASVs and was used for downstream analyses, if requested.

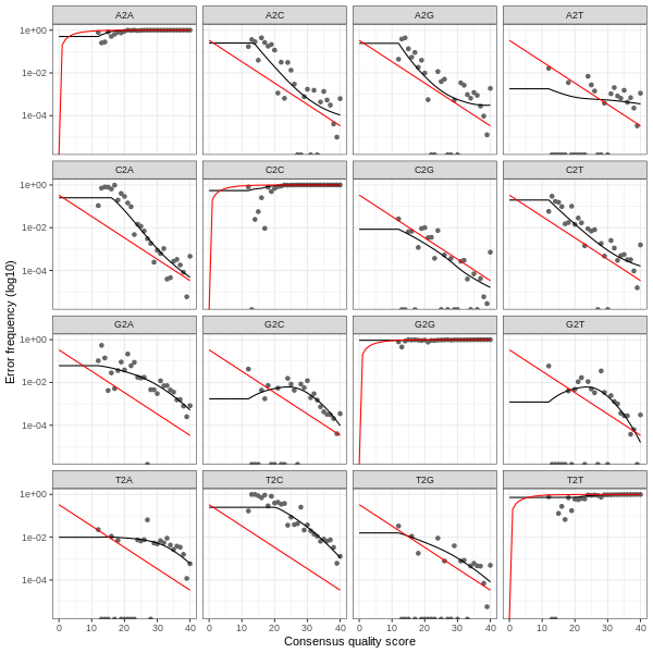
3. Error plots from learning the error rates After DADA2 building the error model for the set of data, it is always worthwhile, as a sanity check if nothing else, to visualize the estimated error rates. The error rates for each possible transition (A→C, A→G, …) are shown below. Points are the observed error rates for each consensus quality score. The black line shows the estimated error rates after convergence of the machine-learning algorithm. The red line shows the error rates expected under the nominal definition of the Q-score. The ideal result would be the estimated error rates (black line) are a good fit to the observed rates (points), and the error rates drop with increased quality as expected.

Forward Read R1 Error Plot


Reverse Read R2 Error Plot

The PDF version of these plots are available here:

 

4. DADA2 Result Summary The table below shows the summary of the DADA2 analysis, tracking paired read counts of each samples for all the steps during DADA2 denoising process - including end-trimming (filtered), denoising (denoisedF, denoisedF), pair merging (merged) and chimera removal (nonchim).

Sample IDF0000.S01F0000.S02F0000.S03F0000.S04F0000.S05F0000.S06F0000.S07F0000.S08F0000.S09F0000.S10F0000.S11F0000.S12F0000.S13F0000.S14F0000.S15F0000.S16F0000.S17F0000.S18F0000.S19F0000.S20F0000.S21F0000.S22F0000.S23F0000.S24F0000.S25F0000.S26F0000.S27F0000.S28F0000.S29F0000.S30F0000.S31F0000.S32F0000.S33F0000.S34F0000.S35F0000.S36F0000.S37F0000.S38F0000.S39F0000.S40F0000.S41F0000.S42F0000.S43F0000.S44F0000.S45F0000.S46F0000.S47F0000.S48F0000.S49F0000.S50F0000.S51F0000.S52F0000.S53F0000.S54F0000.S55F0000.S56F0000.S57F0000.S58F0000.S59F0000.S60F0000.S61F0000.S62F0000.S63F0000.S64F0000.S65F0000.S66Row SumPercentage
input181,901394,075376,980358,957345,527371,506377,096339,001352,400370,293268,122317,760304,621306,551298,721254,156367,021432,805414,080375,902146,757339,925327,534374,647317,545329,324326,303334,671343,826245,701326,261253,668324,658350,636318,455275,047306,680291,798225,987322,273368,242456,287445,586410,245423,356350,146412,206398,953425,386393,973298,066276,726392,248269,783296,700283,170312,641322,250320,137295,475379,977327,272293,596310,234269,466240,64121,861,933100.00%
filtered129,926286,658273,630260,174249,764269,228273,162245,632256,415268,821190,931231,725220,512223,045216,972184,642266,300314,388301,168271,777104,906244,921237,156272,379229,537238,653236,703239,868249,675176,469231,459180,370234,963253,851230,852198,292222,356209,808160,068232,965262,155331,394323,446296,915307,700252,132299,290289,881308,254286,093211,665199,639284,165192,334214,886205,368226,071233,479231,649213,265275,865234,529212,027224,531195,660174,31315,806,82772.30%
denoisedF127,007280,433267,601254,009243,365263,298266,687239,749251,200263,051187,896225,066214,737217,517210,246179,046260,082308,629295,128266,317102,737239,687231,651266,872222,868233,676230,530234,995244,082173,069228,180177,956229,278247,850224,772192,773216,919204,145158,035228,214258,850325,662317,063291,447301,687246,876293,968284,319303,100280,374208,611194,562278,658186,869208,237199,151220,199228,360226,045208,001272,418231,359206,426218,918188,947168,79515,458,25570.71%
denoisedR127,100280,036266,560253,279242,240261,053264,680238,912249,289262,257187,345221,931212,264213,721206,438175,874257,031306,488293,491264,152101,993237,371228,961264,796218,216230,980226,955233,753240,952171,402228,132177,398225,440244,633222,899189,941214,472200,985157,505226,282259,147324,832316,962291,089301,184246,015293,029284,338303,008275,869208,590190,069275,615183,117201,696193,481215,671223,791222,018203,212270,459229,718201,798213,763182,680161,69915,300,05769.98%
merged54,946253,855237,783227,065206,108224,709231,168212,385222,537218,683101,807185,981180,123180,112164,926140,478214,145274,721260,781234,25929,558208,669195,888231,987169,662198,146179,629151,731207,341152,11195,86753,496187,094205,800182,228153,655176,954165,39738,205196,217111,332295,601284,515264,510267,629215,504260,604252,716278,830226,64873,133154,550240,938149,397152,039145,935173,666187,836184,283168,251253,596215,159170,003182,290148,273130,53312,393,97856.69%
nonchim43,94577,57183,76175,14477,33388,05987,88866,82974,55370,55189,43957,45659,30957,50355,89347,57781,532107,306105,66691,40225,75287,17782,89591,91045,20293,63148,60961,81276,21686,16782,42136,65155,21257,61574,10050,57069,39248,22633,00468,86399,81663,79458,53968,36670,48147,20374,02350,939103,21084,27168,44939,57883,69940,11039,42537,76755,56555,26252,86746,558100,09584,81952,51554,16640,67433,3364,379,66920.03%

This table can be downloaded as an Excel table below:

 

5. DADA2 Amplicon Sequence Variants (ASVs). A total of 18579 unique merged and chimera-free ASV sequences were identified, and their corresponding read counts for each sample are available in the "ASV Read Count Table" with rows for the ASV sequences and columns for sample. This read count table can be used for microbial profile comparison among different samples and the sequences provided in the table can be used to taxonomy assignment.

 

The table can be downloaded from this link:

 
 

Sample Meta Information

Download Sample Meta Information
#SampleIDSampleNameMediumInoculumTimeGroup
F0000.S01batch3-1SalivaHealthy_saliva24hHealthy_saliva
F0000.S02batch3-2SalivaHealthy_saliva24hHealthy_saliva
F0000.S03batch3-3SalivaHealthy_saliva24hHealthy_saliva
F0000.S04batch3-4SalivaCaries_saliva24hCaries_saliva
F0000.S05batch3-5SalivaCaries_saliva24hCaries_saliva
F0000.S06batch3-6SalivaCaries_saliva24hCaries_saliva
F0000.S07batch3-7SalivaHealthy_saliva_plus_S_mutans24hHealthy_saliva_plus_S_mutans
F0000.S08batch3-8SalivaHealthy_saliva_plus_S_mutans24hHealthy_saliva_plus_S_mutans
F0000.S09batch3-9SalivaHealthy_saliva_plus_S_mutans24hHealthy_saliva_plus_S_mutans
F0000.S10batch3-10SalivaNegative_control24hNegative_control
F0000.S11batch3-11SHIHealthy_saliva24hHealthy_saliva
F0000.S12batch3-12SHIHealthy_saliva24hHealthy_saliva
F0000.S13batch3-13SHIHealthy_saliva24hHealthy_saliva
F0000.S14batch3-14SHICaries_saliva24hCaries_saliva
F0000.S15batch3-15SHICaries_saliva24hCaries_saliva
F0000.S16batch3-16SHICaries_saliva24hCaries_saliva
F0000.S17batch3-17SHIHealthy_saliva_plus_S_mutans24hHealthy_saliva_plus_S_mutans
F0000.S18batch3-18SHIHealthy_saliva_plus_S_mutans24hHealthy_saliva_plus_S_mutans
F0000.S19batch3-19SHIHealthy_saliva_plus_S_mutans24hHealthy_saliva_plus_S_mutans
F0000.S20batch3-20SHINegative_control24hNegative_control
F0000.S21batch3-21SalivaHealthy_saliva48h_no_medium_changeHealthy_saliva
F0000.S22batch3-22SalivaHealthy_saliva48h_no_medium_changeHealthy_saliva
F0000.S23batch3-23SalivaHealthy_saliva48h_no_medium_changeHealthy_saliva
F0000.S24batch3-24SalivaCaries_saliva48h_no_medium_changeCaries_saliva
F0000.S25batch3-25SalivaCaries_saliva48h_no_medium_changeCaries_saliva
F0000.S26batch3-26SalivaCaries_saliva48h_no_medium_changeCaries_saliva
F0000.S27batch3-27SalivaHealthy_saliva_plus_S_mutans48h_no_medium_changeHealthy_saliva_plus_S_mutans
F0000.S28batch3-28SalivaHealthy_saliva_plus_S_mutans48h_no_medium_changeHealthy_saliva_plus_S_mutans
F0000.S29batch3-29SalivaHealthy_saliva_plus_S_mutans48h_no_medium_changeHealthy_saliva_plus_S_mutans
F0000.S30batch3-30SalivaNegative_control48h_no_medium_changeNegative_control
F0000.S31batch3-31SHIHealthy_saliva48h_no_medium_changeHealthy_saliva
F0000.S32batch3-32SHIHealthy_saliva48h_no_medium_changeHealthy_saliva
F0000.S33batch3-33SHIHealthy_saliva48h_no_medium_changeHealthy_saliva
F0000.S34batch3-34SHICaries_saliva48h_no_medium_changeCaries_saliva
F0000.S35batch3-35SHICaries_saliva48h_no_medium_changeCaries_saliva
F0000.S36batch3-36SHICaries_saliva48h_no_medium_changeCaries_saliva
F0000.S37batch3-37SHIHealthy_saliva_plus_S_mutans48h_no_medium_changeHealthy_saliva_plus_S_mutans
F0000.S38batch3-38SHIHealthy_saliva_plus_S_mutans48h_no_medium_changeHealthy_saliva_plus_S_mutans
F0000.S39batch3-39SHIHealthy_saliva_plus_S_mutans48h_no_medium_changeHealthy_saliva_plus_S_mutans
F0000.S40batch3-40SHINegative_control48h_no_medium_changeNegative_control
F0000.S41batch3-41SalivaHealthy_saliva48h_medium_changeHealthy_saliva
F0000.S42batch3-42SalivaHealthy_saliva48h_medium_changeHealthy_saliva
F0000.S43batch3-43SalivaHealthy_saliva48h_medium_changeHealthy_saliva
F0000.S44batch3-44SalivaCaries_saliva48h_medium_changeCaries_saliva
F0000.S45batch3-45SalivaCaries_saliva48h_medium_changeCaries_saliva
F0000.S46batch3-46SalivaCaries_saliva48h_medium_changeCaries_saliva
F0000.S47batch3-47SalivaHealthy_saliva_plus_S_mutans48h_medium_changeHealthy_saliva_plus_S_mutans
F0000.S48batch3-48SalivaHealthy_saliva_plus_S_mutans48h_medium_changeHealthy_saliva_plus_S_mutans
F0000.S49batch3-49SalivaHealthy_saliva_plus_S_mutans48h_medium_changeHealthy_saliva_plus_S_mutans
F0000.S50batch3-50SalivaNegative_control48h_medium_changeNegative_control
F0000.S51batch3-51SHIHealthy_saliva48h_medium_changeHealthy_saliva
F0000.S52batch3-52SHIHealthy_saliva48h_medium_changeHealthy_saliva
F0000.S53batch3-53SHIHealthy_saliva48h_medium_changeHealthy_saliva
F0000.S54batch3-54SHICaries_saliva48h_medium_changeCaries_saliva
F0000.S55batch3-55SHICaries_saliva48h_medium_changeCaries_saliva
F0000.S56batch3-56SHICaries_saliva48h_medium_changeCaries_saliva
F0000.S57batch3-57SHIHealthy_saliva_plus_S_mutans48h_medium_changeHealthy_saliva_plus_S_mutans
F0000.S58batch3-58SHIHealthy_saliva_plus_S_mutans48h_medium_changeHealthy_saliva_plus_S_mutans
F0000.S59batch3-59SHIHealthy_saliva_plus_S_mutans48h_medium_changeHealthy_saliva_plus_S_mutans
F0000.S60batch3-60SHINegative_control48h_medium_changeNegative_control
F0000.S61batch3-61Mock_communityMock_communityMock_communityMock_community
F0000.S62batch3-62Mock_communityMock_communityMock_communityMock_community
F0000.S63batch3-63Healthy_inoculumHealthy_inoculumHealthy_inoculumHealthy_inoculum
F0000.S64batch3-64Healthy_inoculumHealthy_inoculumHealthy_inoculumHealthy_inoculum
F0000.S65batch3-65Caries_inoculumCaries_inoculumCaries_inoculumCaries_inoculum
F0000.S66batch3-66Caries_inoculumCaries_inoculumCaries_inoculumCaries_inoculum
 
 

ASV Read Counts by Samples

#Sample IDRead Count
F0000.S2125,752
F0000.S3933,004
F0000.S6633,336
F0000.S3236,651
F0000.S5637,767
F0000.S5539,425
F0000.S5239,578
F0000.S5440,110
F0000.S6540,674
F0000.S0143,945
F0000.S2545,202
F0000.S6046,558
F0000.S4647,203
F0000.S1647,577
F0000.S3848,226
F0000.S2748,609
F0000.S3650,570
F0000.S4850,939
F0000.S6352,515
F0000.S5952,867
F0000.S6454,166
F0000.S3355,212
F0000.S5855,262
F0000.S5755,565
F0000.S1555,893
F0000.S1257,456
F0000.S1457,503
F0000.S3457,615
F0000.S4358,539
F0000.S1359,309
F0000.S2861,812
F0000.S4263,794
F0000.S0866,829
F0000.S4468,366
F0000.S5168,449
F0000.S4068,863
F0000.S3769,392
F0000.S4570,481
F0000.S1070,551
F0000.S4774,023
F0000.S3574,100
F0000.S0974,553
F0000.S0475,144
F0000.S2976,216
F0000.S0577,333
F0000.S0277,571
F0000.S1781,532
F0000.S3182,421
F0000.S2382,895
F0000.S5383,699
F0000.S0383,761
F0000.S5084,271
F0000.S6284,819
F0000.S3086,167
F0000.S2287,177
F0000.S0787,888
F0000.S0688,059
F0000.S1189,439
F0000.S2091,402
F0000.S2491,910
F0000.S2693,631
F0000.S4199,816
F0000.S61100,095
F0000.S49103,210
F0000.S19105,666
F0000.S18107,306
 
 
 

VII. Analysis - Read Taxonomy Assignment

Read Taxonomy Assignment - Methods

 

The species-level, open-reference 16S rRNA NGS reads taxonomy assignment pipeline

Version 20210310
 

1. Raw sequences reads in FASTA format were BLASTN-searched against a combined set of 16S rRNA reference sequences. It consists of MOMD (version 0.1), the HOMD (version 15.2 http://www.homd.org/index.php?name=seqDownload&file&type=R ), HOMD 16S rRNA RefSeq Extended Version 1.1 (EXT), GreenGene Gold (GG) (http://greengenes.lbl.gov/Download/Sequence_Data/Fasta_data_files/gold_strains_gg16S_aligned.fasta.gz) , and the NCBI 16S rRNA reference sequence set (https://ftp.ncbi.nlm.nih.gov/blast/db/16S_ribosomal_RNA.tar.gz). These sequences were screened and combined to remove short sequences (<1000nt), chimera, duplicated and sub-sequences, as well as sequences with poor taxonomy annotation (e.g., without species information). This process resulted in 1,015 from HOMD V15.22, 495 from EXT, 3,940 from GG and 18,044 from NCBI, a total of 25,120 sequences. Altogether these sequence represent a total of 15,601 oral and non-oral microbial species.

The NCBI BLASTN version 2.7.1+ (Zhang et al, 2000) was used with the default parameters. Reads with ≥ 98% sequence identity to the matched reference and ≥ 90% alignment length (i.e., ≥ 90% of the read length that was aligned to the reference and was used to calculate the sequence percent identity) were classified based on the taxonomy of the reference sequence with highest sequence identity. If a read matched with reference sequences representing more than one species with equal percent identity and alignment length, it was subject to chimera checking with USEARCH program version v8.1.1861 (Edgar 2010). Non-chimeric reads with multi-species best hits were considered valid and were assigned with a unique species notation (e.g., spp) denoting unresolvable multiple species.

2. Unassigned reads (i.e., reads with < 98% identity or < 90% alignment length) were pooled together and reads < 200 bases were removed. The remaining reads were subject to the de novo operational taxonomy unit (OTU) calling and chimera checking using the USEARCH program version v8.1.1861 (Edgar 2010). The de novo OTU calling and chimera checking was done using 98% as the sequence identity cutoff, i.e., the species-level OTU. The output of this step produced species-level de novo clustered OTUs with 98% identity. Representative reads from each of the OTUs/species were then BLASTN-searched against the same reference sequence set again to determine the closest species for these potential novel species. These potential novel species were pooled together with the reads that were signed to specie-level in the previous step, for down-stream analyses.

Reference:
Edgar RC. Search and clustering orders of magnitude faster than BLAST. Bioinformatics. 2010 Oct 1;26(19):2460-1. doi: 10.1093/bioinformatics/btq461. Epub 2010 Aug 12. PubMed PMID: 20709691.

3. Designations used in the taxonomy:

	1) Taxonomy levels are indicated by these prefixes:
	
	   k__: domain/kingdom
	   p__: phylum
	   c__: class
	   o__: order
	   f__: family
	   g__: genus  
	   s__: species
	
	   Example: 
	
	   k__Bacteria;p__Firmicutes;c__Clostridia;o__Clostridiales;f__Lachnospiraceae;g__Blautia;s__faecis
		
	2) Unique level identified – known species:
	   
	   k__Bacteria;p__Firmicutes;c__Clostridia;o__Clostridiales;f__Lachnospiraceae;g__Roseburia;s__hominis
	
	   The above example shows some reads match to a single species (all levels are unique)
	
	3) Non-unique level identified – known species:

	   k__Bacteria;p__Firmicutes;c__Clostridia;o__Clostridiales;f__Lachnospiraceae;g__Roseburia;s__multispecies_spp123_3
	   
	   The above example “s__multispecies_spp123_3” indicates certain reads equally match to 3 species of the 
	   genus Roseburia; the “spp123” is a temporally assigned species ID.
	
	   k__Bacteria;p__Firmicutes;c__Clostridia;o__Clostridiales;f__Lachnospiraceae;g__multigenus;s__multispecies_spp234_5
	   
	   The above example indicates certain reads match equally to 5 different species, which belong to multiple genera.; 
	   the “spp234” is a temporally assigned species ID.
	
	4) Unique level identified – unknown species, potential novel species:
	   
	   k__Bacteria;p__Firmicutes;c__Clostridia;o__Clostridiales;f__Lachnospiraceae;g__Roseburia;s__ hominis_nov_97%
	   
	   The above example indicates that some reads have no match to any of the reference sequences with 
	   sequence identity ≥ 98% and percent coverage (alignment length)  ≥ 98% as well. However this groups 
	   of reads (actually the representative read from a de novo  OTU) has 96% percent identity to 
	   Roseburia hominis, thus this is a potential novel species, closest to Roseburia hominis. 
	   (But they are not the same species).
	
	5) Multiple level identified – unknown species, potential novel species:
	   k__Bacteria;p__Firmicutes;c__Clostridia;o__Clostridiales;f__Lachnospiraceae;g__Roseburia;s__ multispecies_sppn123_3_nov_96%
	
	   The above example indicates that some reads have no match to any of the reference sequences 
	   with sequence identity ≥ 98% and percent coverage (alignment length)  ≥ 98% as well. 
	   However this groups of reads (actually the representative read from a de novo  OTU) 
	   has 96% percent identity equally to 3 species in Roseburia. Thus this is no single 
	   closest species, instead this group of reads match equally to multiple species at 96%. 
	   Since they have passed chimera check so they represent a novel species. “sppn123” is a 
	   temporary ID for this potential novel species. 

 
4. The taxonomy assignment algorithm is illustrated in this flow char below:
 
 
 
 

Read Taxonomy Assignment - Result Summary *

CodeCategoryMPC=0% (>=1 read)MPC=0.01%(>=430 reads)
ATotal reads4,379,6694,379,669
BTotal assigned reads4,308,0654,308,065
CAssigned reads in species with read count < MPC032,048
DAssigned reads in samples with read count < 50000
ETotal samples6666
FSamples with reads >= 5006666
GSamples with reads < 50000
HTotal assigned reads used for analysis (B-C-D)4,308,0654,276,017
IReads assigned to single species3,689,6093,678,425
JReads assigned to multiple species301,792300,446
KReads assigned to novel species316,664297,146
LTotal number of species1,173163
MNumber of single species306114
NNumber of multi-species156
ONumber of novel species85243
PTotal unassigned reads71,60471,604
QChimeric reads2,1792,179
RReads without BLASTN hits5,5825,582
SOthers: short, low quality, singletons, etc.63,84363,843
A=B+P=C+D+H+Q+R+S
E=F+G
B=C+D+H
H=I+J+K
L=M+N+O
P=Q+R+S
* MPC = Minimal percent (of all assigned reads) read count per species, species with read count < MPC were removed.
* Samples with reads < 500 were removed from downstream analyses.
* The assignment result from MPC=0.1% was used in the downstream analyses.
 
 
 

Read Taxonomy Assignment - ASV Species-Level Read Counts Table

This table shows the read counts for each sample (columns) and each species identified based on the ASV sequences. The downstream analyses were based on this table.
SPIDTaxonomyF0000.S01F0000.S02F0000.S03F0000.S04F0000.S05F0000.S06F0000.S07F0000.S08F0000.S09F0000.S10F0000.S11F0000.S12F0000.S13F0000.S14F0000.S15F0000.S16F0000.S17F0000.S18F0000.S19F0000.S20F0000.S21F0000.S22F0000.S23F0000.S24F0000.S25F0000.S26F0000.S27F0000.S28F0000.S29F0000.S30F0000.S31F0000.S32F0000.S33F0000.S34F0000.S35F0000.S36F0000.S37F0000.S38F0000.S39F0000.S40F0000.S41F0000.S42F0000.S43F0000.S44F0000.S45F0000.S46F0000.S47F0000.S48F0000.S49F0000.S50F0000.S51F0000.S52F0000.S53F0000.S54F0000.S55F0000.S56F0000.S57F0000.S58F0000.S59F0000.S60F0000.S61F0000.S62F0000.S63F0000.S64F0000.S65F0000.S66
SP1Bacteria;Proteobacteria;Epsilonproteobacteria;Campylobacterales;Campylobacteraceae;Campylobacter;concisus20327589484539015195106336937824973249385178517731887409027655191263429202951401471190021942049457618122155219735963561615421735305721063349200232208453223239286125792031002196654770510076481195115413037816551092322439598366
SP10Bacteria;Proteobacteria;Gammaproteobacteria;Xanthomonadales;Xanthomonadaceae;Stenotrophomonas;maltophilia0000000000000000000029002100680043834500000019000000022000000014000002023000
SP100Bacteria;Bacteroidetes;Bacteroidia;Bacteroidales;Prevotellaceae;Prevotella;histicola77183033351959100616941827139614251893297818148784032974921088160313093916321320166557871161775316468973235395412346765026151037425317250083764125414430272346502173259115251604817314992942162837585645274236335340738569
SP101Bacteria;Firmicutes;Bacilli;Lactobacillales;Carnobacteriaceae;Granulicatella;adiacens91961961279213677285308364326917476965343761216265330721551171121115012171486429493584811511749349145650723424837219833191157310799568210230328021184422129163731841992301341119833761981823
SP103Bacteria;Firmicutes;Bacilli;Lactobacillales;Streptococcaceae;Streptococcus;parasanguinis_II591042119070280595865662910071121293044173114304679671114861104816511331477150743420124257801108929735946496289757131016557844631214405485650614222230158783319940237259521946126062440971035326622911791108226165981146852
SP104Bacteria;Fusobacteria;Fusobacteriia;Fusobacteriales;Leptotrichiaceae;Leptotrichia;sp._oral_taxon_2180000050000000010000000000000000000500000000002000000000020000083294270
SP106Bacteria;Firmicutes;Bacilli;Lactobacillales;Streptococcaceae;Streptococcus;sp._oral_taxon_070818826111252864528129828615567798342179104232241622611641105832860925461871072305491016114064254521509419426991011131251782161196468442634227822325620923593673454082442168120767063395605
SP108Bacteria;Actinobacteria;Actinobacteria;Propionibacteriales;Propionibacteriaceae;Propionibacterium;acnes516211601228964225612256345162111952992482071642571506037778973687684454845279018162813251050251121708072477145382481551330213171031710221022518831772014
SP109Bacteria;Firmicutes;Negativicutes;Selenomonadales;Veillonellaceae;Selenomonas;sp._oral_taxon_478627282419518014921262809112466681715922727313072453347440111612574767110210172532827660196954075011111220695000000
SP111Bacteria;Bacteroidetes;Bacteroidia;Bacteroidales;Prevotellaceae;Prevotella;sp._oral_taxon_31420240219145405484462180323151433204813075694854992613473331721919417147721448111721710322029529425138523121427121049243245695561488615715314021177150217408349476296287283037269301329346
SP113Bacteria;Firmicutes;Bacilli;Lactobacillales;Streptococcaceae;Streptococcus;sp._oral_taxon_0580475814912018514240130844205151251229159563162491190013528134211432317526611815307416018727599376470131632284136671774325210253921322820272215039499232173
SP114Bacteria;Actinobacteria;Actinobacteria;Actinomycetales;Micrococcaceae;Rothia;mucilaginosa000000000600061780430000000000003300000030000001000000000000000045047123971904
SP115Bacteria;Actinobacteria;Actinobacteria;Actinomycetales;Micrococcaceae;Rothia;dentocariosa0000020010000000000025240000002713000000212200000017200000002316009241210370930441001222021
SP116Bacteria;Firmicutes;Negativicutes;Selenomonadales;Veillonellaceae;Selenomonas;sp._oral_taxon_138005066623110000007510813430104779316911889500122649316800200214870000010427178000000000
SP119Bacteria;Firmicutes;Negativicutes;Selenomonadales;Veillonellaceae;Selenomonas;sp._oral_taxon_1491261971791179423764266772331971750338054271333866236142159775526533126126927777350036826742829731939959283082566611246292502322942405281347032481232821703367379741042132618028682804720608043
SP12Bacteria;Firmicutes;Bacilli;Lactobacillales;Streptococcaceae;Streptococcus;sp._oral_taxon_07438555363241049653279012211735203321411302153282511327301929072528622733802464516321535915411742300201228370003766317233
SP124Bacteria;Firmicutes;Bacilli;Lactobacillales;Carnobacteriaceae;Granulicatella;elegans0021831111194064875803184143862360902410000043821370518390004209100100200010244300081510038321815
SP129Bacteria;Firmicutes;Bacilli;Lactobacillales;Streptococcaceae;Streptococcus;mitis2066135508651494976166384312520853221302807274123093353145196477640651571953510321243011975072563273397652643916251577198847224353819233048729032381635200846831846722059013229185126746921296240270468140313857991492813406604624217144
SP13Bacteria;Firmicutes;Bacilli;Lactobacillales;Streptococcaceae;Streptococcus;tigurinus4141410821198327510367678178344438137317259588678571269432249843350225200719782769538142260913931802243047894978127911706881276100651271966615629141813186661766165329739251994843186955686276130715128604484107139170121921254023
SP138Bacteria;Firmicutes;Bacilli;Lactobacillales;Streptococcaceae;Streptococcus;anginosus300137311080231001412241131331111411011889101721210303322126111040010110116428456140170706510503020021611
SP14Bacteria;Firmicutes;Bacilli;Lactobacillales;Streptococcaceae;Streptococcus;sp._oral_taxon_0642278321815647972933372613759713051222176265606966273182932751319910022100491547092542565381443781956376588565897330672915348125823618835467085046115069171873135145981283229070593106925231085951681471173866709511058099367281
SP145Bacteria;Firmicutes;Bacilli;Lactobacillales;Streptococcaceae;Streptococcus;parasanguinis_I598631259856435624513131013921431481036131410851129706157326962250232710031053109360975330487861951247022075217911744215020831005188214796514667811471142125386759110041060220313158213725018170972966911471940183324359178141167257166
SP146Bacteria;Firmicutes;Clostridia;Clostridiales;Lachnospiraceae_[XIV];Lachnoanaerobaculum;saburreum00000000000000575675400000004330000300521441000000000000000004471509400010215
SP147Bacteria;Firmicutes;Bacilli;Lactobacillales;Streptococcaceae;Streptococcus;constellatus0074913371401008245710775545103531130912202334110101155154372101800002211178000320820013510000000
SP149Bacteria;Bacteroidetes;Bacteroidia;Bacteroidales;Prevotellaceae;Alloprevotella;rava000030254300309001047819900000010711065090300012202451030020000600040000014110315100000304435
SP15Bacteria;Firmicutes;Bacilli;Lactobacillales;Streptococcaceae;Streptococcus;vestibularis1754231659813252866242774771991291271210072767123502982463450218197182380012311615089165803260434353348231417368110634606232581069116117690013714500
SP150Bacteria;Bacteroidetes;Bacteroidia;Bacteroidales;Prevotellaceae;Prevotella;scopos00012354753130006414391007418460127004767639552451137350196674142455535055070074700000106112103175380000003523
SP152Bacteria;Proteobacteria;Alphaproteobacteria;Rhizobiales;Rhizobiaceae;Rhizobium;skierniewicense33593129253825382410000000000000000000000000000000000000000000000000000000000
SP155Bacteria;Fusobacteria;Fusobacteriia;Fusobacteriales;Leptotrichiaceae;Leptotrichia;sp._oral_taxon_21501641400004201625340044135320726965000415511602745395305106100000200080455329846507438001811835536
SP156Bacteria;Bacteroidetes;Bacteroidia;Bacteroidales;Prevotellaceae;Alloprevotella;sp._oral_taxon_308060211009497890065111107685715919841426301181758943103272829113028814078314424178080021915361350381092551549066434830117111705565
SP16Bacteria;Firmicutes;Bacilli;Lactobacillales;Streptococcaceae;Streptococcus;salivarius479551962195875118571245419672540038026239148912111298838832890766129082644234623623132458331546489155528414772374251422279214651615772345927048121025019492653062261128281286681831549832206102292516606101369613148913442599729763655159614242801286230522706
SP165Plantae;Pinophyta;Pinopsida;Pinales;Pinaceae;Pinus;thunbergii_Oral_Taxon_D30000000000000000000000000704000183600000001300000006000000011000000012000
SP167Bacteria;Actinobacteria;Coriobacteriia;Coriobacteriales;Coriobacteriaceae;Atopobium;parvulum08159381062026514914913130271081581812550148140218989217261860418411143493842334071930015510251074638757645318318112900229219171143
SP17Bacteria;Firmicutes;Clostridia;Clostridiales;Lachnospiraceae_[XIV];Catonella;morbi1315123711725633728916419010120907812597511702694362552353852261174822435690130717688225319793008498128881212849590859547952602753888710691993870268527296434993231194124813833280225245844849922620
SP174Bacteria;Firmicutes;Bacilli;Lactobacillales;Streptococcaceae;Streptococcus;cristatus629167134239721745137970574445044500404459151910912491147016099557177893912966492834133811808812006443774685751618959253142845162436220280476268217053169517101328141823378319929829584192814616223179260187
SP178Bacteria;[Thermi];Deinococci;Thermales;Thermaceae;Thermus;thermophilus55560351340012174413161413110013000000018000620040153001275081221046880034220501520090008000
SP18Bacteria;Firmicutes;Bacilli;Lactobacillales;Streptococcaceae;Streptococcus;sp._oral_taxon_05761172585235748487011910006287715340641431562700981713414414551761851980478521971591081191714291081454595219538026511501553443838652734140010513500
SP180Bacteria;Firmicutes;Bacilli;Lactobacillales;Streptococcaceae;Streptococcus;mutans4009143415812241954854861238757830272543131424102031462860533788126401421231052512285571851554168464165559173443690350
SP185Bacteria;Actinobacteria;Actinobacteria;Corynebacteriales;Corynebacteriaceae;Corynebacterium;accolens00000030000000000000000000000091600000000000000090000000500000000000
SP19Bacteria;Firmicutes;Bacilli;Lactobacillales;Aerococcaceae;Abiotrophia;defectiva06362379588116108828805748476446102991747903047352576035407015121326362352251790341238354089329941632066130130120770049345534
SP193Bacteria;Firmicutes;Clostridia;Clostridiales;Peptostreptococcaceae_[XI];Peptostreptococcus;stomatis01113132966391710411180295719562813298817741673164115001229703265331722144731214545151222122097401889232223161188440126812873812574410817684553423479861063349262893273290132583651470736663404717690713124
SP198Bacteria;Firmicutes;Bacilli;Lactobacillales;Streptococcaceae;Streptococcus;oralis64222322171411741891271034202714547820841940218315214325440073146325252229717432122913341262065183521662710381008106326612925910843726281947636056810168703797622333841175535456721114102342141361591991912
SP2Bacteria;Proteobacteria;Alphaproteobacteria;Rhizobiales;Phyllobacteriaceae;Phyllobacterium;myrsinacearum260582543532102047462412223912744453526827866029225843132361241723429270214573533833139291696926459433572916343154454171500570834410615426617437432103554236817666272493800273011501790220127
SP20Bacteria;Firmicutes;Negativicutes;Selenomonadales;Veillonellaceae;Veillonella;parvula_group482162361359515446162119882130148431543515687287501660024590118099917241288014531971530114161124971543690021018119470119521361414953107293783916859041293641117385732831511314479153932185133620871252820973616828636126577313093466810534931425625838171850831373076923757
SP206Bacteria;Bacteroidetes;Bacteroidia;Bacteroidales;Prevotellaceae;Prevotella;buccae0000000000000043038000000023214191001730005169694001150000000010002532250222330000000000
SP209Bacteria;Actinobacteria;Actinobacteria;Actinomycetales;Actinomycetaceae;Actinomyces;sp._oral_taxon_17100000000000000000000020300000008980000000500000000000000000000001633135
SP21Bacteria;Bacteroidetes;Bacteroidia;Bacteroidales;Porphyromonadaceae;Porphyromonas;sp._oral_taxon_279040672837553533507211717795739258167410126517391344201456138277692297889651044132415260866397232130159640309661316282921263540312321730524414412288127261351230132819201997619503
SP216Bacteria;Proteobacteria;Betaproteobacteria;Neisseriales;Neisseriaceae;Neisseria;sicca516907152600062704000002140000054000000000000112256190110205000549000010010967
SP22Bacteria;Firmicutes;Negativicutes;Selenomonadales;Veillonellaceae;Selenomonas;sp._oral_taxon_4790000412816001000034245300000003814352010000086479900040023300390000163937100000000
SP222Bacteria;Firmicutes;Bacilli;Bacillales;Staphylococcaceae;Staphylococcus;caprae00000000000000004000000050000000000000007980000000000000000000000000
SP225Bacteria;[Thermi];Deinococci;Thermales;Thermaceae;Thermus;scotoductus00000000000000000000006000000046900000000000000000000000000000000000
SP236Bacteria;Bacteroidetes;Bacteroidia;Bacteroidales;Porphyromonadaceae;Porphyromonas;sp._oral_taxon_9300000000000011120220005143110590780001731850002600026048000000000007000000000002100
SP247Bacteria;Actinobacteria;Actinobacteria;Micrococcales;Micrococcaceae;Arthrobacter;russicus0000000000000000800056000000000005000002800124500305508000003011000005000
SP249Bacteria;Proteobacteria;Alphaproteobacteria;Rhizobiales;Bradyrhizobiaceae;Bosea;vestrisii0012000001313171616101012170000000000000061100000000000000040000000000000008000
SP25Bacteria;Actinobacteria;Actinobacteria;Actinomycetales;Actinomycetaceae;Actinomyces;sp._oral_taxon_175090400006967105000291280197120601812120409000001311501514731170001510000000495125219
SP252Bacteria;Proteobacteria;Betaproteobacteria;Neisseriales;Neisseriaceae;Eikenella;corrodens0030000000032393200098811440935339040731041530342413400570660003000001909690282004977430320700
SP256Bacteria;Saccharibacteria_(TM7);TM7_[C-1];TM7_[O-1];TM7_[F-1];TM7_[G-3];sp._oral_taxon_3510613049682605102678527111704848551429102337260171833269222203000000000051048324626821655204000106217
SP26Bacteria;Firmicutes;Bacilli;Lactobacillales;Streptococcaceae;Streptococcus;infantis438234255516039765082705594782127545340155935279677812385931855464153833110574566288387661822938823289237286544331701511732602011060837140435397429720722575982951641391341163786279112941079
SP265Bacteria;Firmicutes;Clostridia;Clostridiales;Peptostreptococcaceae_[XI];Peptostreptococcaceae_[XI][G-2];sp._oral_taxon_091000000000000000000000000692203000000002324010700000000000000000000000000000
SP27Bacteria;Firmicutes;Bacilli;Lactobacillales;Streptococcaceae;Streptococcus;sp._oral_taxon_431395454861322683523264033692612227928320349542775167835150632434241309175481279302325664272041302325072065971662875106939862501412241173909208328745133205184862918190230285773663
SP271Bacteria;Firmicutes;Bacilli;Lactobacillales;Streptococcaceae;Streptococcus;intermedius00212371114105380914016669832710376820773857421019145691000212123977517221267431612112289279228427216426711385242210010331816
SP28Bacteria;Bacteroidetes;Bacteroidia;Bacteroidales;Prevotellaceae;Prevotella;pallens42848451492872414052310373172034900001882367288289038457354218030050910313000000120930000109103595452
SP281Bacteria;Proteobacteria;Alphaproteobacteria;Rhizobiales;Rhizobiaceae;Rhizobium;loti8401069151270000000000000000000000000000000000000000000000000000000000
SP297Bacteria;Firmicutes;Bacilli;Bacillales;Bacillaceae;Anoxybacillus;pushchinoensis_Oral_Taxon_B7247140060250000000000000000000000000000000000000000000000000000000000
SP298Bacteria;Actinobacteria;Actinobacteria;Actinomycetales;Propionibacteriaceae;Propionibacterium;granulosum00000000030000002000004000450012250000000700060007000502000800000003000
SP30Bacteria;Actinobacteria;Actinobacteria;Actinomycetales;Actinomycetaceae;Actinomyces;sp._oral_taxon_180000000030000600231342612014170030071417001324210506000000000003140006102000143148295250
SP302Bacteria;Actinobacteria;Actinobacteria;Actinomycetales;Micrococcaceae;Rothia;aeria958201932022129461523250191000000000000000000000000093107718386736873132215161619151113102210101444634316
SP303Bacteria;Proteobacteria;Gammaproteobacteria;Pseudomonadales;Pseudomonadaceae;Pseudomonas;parafulva00000000000000000000000000000067500000000000000070000000000000000000
SP308Bacteria;Firmicutes;Bacilli;Bacillales;Bacillaceae;Geobacillus;sp._str._WCH7021461612176912140000000000000000000000000000000000000000000000000000000000
SP31Bacteria;Bacteroidetes;Bacteroidia;Bacteroidales;Prevotellaceae;Prevotella;melaninogenica1383094347637552803292028563773462324222027555853968424946491158491068679051192716959966756659636393317337327774102354315285073046607380734232852314418331242284254375432075271354253891503225318681844469526255186029497884859771884587351551963992371117841545
SP33Bacteria;Fusobacteria;Fusobacteriia;Fusobacteriales;Fusobacteriaceae;Fusobacterium;periodonticum011261182016113533279985051229709294550427482475248989491173989132838311812096150920594104713461538454922237926106024403032040222950286032131857280214291431120567315605161546437479294190
SP34Bacteria;Firmicutes;Erysipelotrichia;Erysipelotrichales;Erysipelotrichaceae;Solobacterium;moorei0736182927152321062847712912226011919418774994923729726859146169225015218412925410117561594064680148121710433077269278673635700536214191
SP35Bacteria;Firmicutes;Negativicutes;Selenomonadales;Veillonellaceae;Selenomonas;dianae0150040472701211000098111236027013059948211300160000408127346000000000000000006286194000000000
SP36Bacteria;Bacteroidetes;Bacteroidia;Bacteroidales;Prevotellaceae;Prevotella;nanceiensis01022351917183321901421271622025327516912741311619815631597669002782542832284105100000350101301836293515163818360038351618
SP38Bacteria;Proteobacteria;Gammaproteobacteria;Pasteurellales;Pasteurellaceae;Haemophilus;parainfluenzae021812181916181910024122676035411708201636014184861011053021016021111387121416160484325141916108112105288370812734538405
SP39Bacteria;Actinobacteria;Actinobacteria;Actinomycetales;Actinomycetaceae;Actinomyces;odontolyticus011229262632820170761594044451492603442461653362602104214240150274230249613654363618715225166011160131100162751500854952058979150177170150194631533211121267820581
SP4Bacteria;Actinobacteria;Actinobacteria;Actinomycetales;Actinomycetaceae;Actinomyces;lingnae_[NVP]000050020606145474914184101654360812036160111778471509014100035490164445664109200106147140144
SP40Bacteria;Firmicutes;Negativicutes;Selenomonadales;Veillonellaceae;Veillonella;atypica1123812385639829821179148323792431298311736043116397333352723493263557679575913262134926618613513945122135545570564772250531013315288717172333298976342712225432200343615108481681320246805120103251746312194282321364126249836292140751223223091025892
SP41Bacteria;Bacteroidetes;Bacteroidia;Bacteroidales;Prevotellaceae;Prevotella;sp._oral_taxon_3061717889122578940834369290181434481076621093518215214523105111522111300036251028882814452999916156534056066111318300024302212120157480717601
SP43Bacteria;Bacteroidetes;Bacteroidia;Bacteroidales;Prevotellaceae;Alloprevotella;sp._oral_taxon_4730161317222401521503792593678081200444782511052247950226802125027940731162572206139591810201000110010011130611125312914625953001011017457
SP45Bacteria;Bacteroidetes;Bacteroidia;Bacteroidales;Prevotellaceae;Prevotella;salivae139493161572895737126771639166156228643481121420816222617487463364486739449175518347011123718171549960931715213171062212126616932549115301710322315149043464152816132313155250302259
SP46Bacteria;Proteobacteria;Betaproteobacteria;Neisseriales;Neisseriaceae;Neisseria;flavescens|subflava13152311044125032300125720319171820245960413011272732410895221435390241924221759415035001410323719272135220520104909605921891695
SP48Bacteria;Firmicutes;Bacilli;Bacillales;Gemellaceae;Gemella;sanguinis06543391731186147400891091046838105388546327628730228886818160150171010364762619204707301384105810461054611844277205569455521023911593
SP5Bacteria;Firmicutes;Bacilli;Lactobacillales;Streptococcaceae;Streptococcus;sp._oral_taxon_061516879449171199731703182704093924980105109108211915112322838148818910313605265130123481335301048107728748619515526079092823197350241200805213590
SP50Bacteria;Firmicutes;Bacilli;Lactobacillales;Streptococcaceae;Streptococcus;sp._oral_taxon_0662586099766314222119963493480223454362403129801488468737871277976277965202885005127231535340235596901582931556122991722104218410813680616164141290103363647409210953152414621473549408
SP55Bacteria;Firmicutes;Bacilli;Lactobacillales;Streptococcaceae;Streptococcus;sp._oral_taxon_4230074201152962072423220211819273250526568331018634914653015022141625031284242153421515602570835127831902256000004966286200000022157861
SP56Bacteria;Firmicutes;Negativicutes;Selenomonadales;Veillonellaceae;Selenomonas;infelix0676513833141150000836413600000906620563040030020670194000000024000120020304770000000002
SP59Bacteria;Firmicutes;Bacilli;Lactobacillales;Streptococcaceae;Streptococcus;australis0224365324969399258261212014093113614978301247208019319323740143261941732180124103136637273930209017213648910243117209456137012310284337281110017487487313235
SP6Bacteria;Firmicutes;Bacilli;Lactobacillales;Streptococcaceae;Streptococcus;dentisani305034764143034132163525117712958984774039739465818352059149326596625709202631251877111612921326032334546725537166819133815193242208219201264271896294222263531418352761971511952225683678330274
SP60Bacteria;Firmicutes;Bacilli;Lactobacillales;Streptococcaceae;Streptococcus;gordonii388411520611253438251871111812544399810259831181212082046268914563121951744193969208751205995197411987629778200911054431911212559554873333722032580323947403550712853596795474685702581125968780
SP61Bacteria;Bacteroidetes;Bacteroidia;Bacteroidales;Prevotellaceae;Prevotella;sp._oral_taxon_3131893824053307687102021065443537921823295361201281220863096204635271312753043551676175118923234022722148250297132715581379244481136712339418939783159481624617819917869510137035858215514693364015513626252141
SP62Bacteria;Actinobacteria;Actinobacteria;Actinomycetales;Actinomycetaceae;Actinomyces;graevenitzii0060605045006000018223001607060466009101000800000000723000070007400160161142140
SP63Bacteria;Firmicutes;Clostridia;Clostridiales;Peptoniphilaceae;Parvimonas;sp._oral_taxon_11000000000000000008623902038337248445037139321043821042522902300200020200032022000761300003
SP64Bacteria;Firmicutes;Bacilli;Lactobacillales;Streptococcaceae;Streptococcus;sanguinis29341352253489494285364614474222223143174443807819369066861250149347121743516434640046817215268206391192384184635813114269245404414248503263729192141142436614621633015092450161108411590
SP66Bacteria;Firmicutes;Clostridia;Clostridiales;Lachnospiraceae_[XIV];Oribacterium;sinus1228787126013427821166188031015171112198239141323238158281425725734099257802102154650821872251091571461847128713202060227814961581581391032221041391331777362492922
SP68Bacteria;Firmicutes;Clostridia;Clostridiales;Lachnospiraceae_[XIV];Stomatobaculum;sp._oral_taxon_097001734001660064338258459511574770925711984164114560945462610112100054101050011011663971151701031271323030031221914
SP71Bacteria;Firmicutes;Bacilli;Lactobacillales;Enterococcaceae;Tetragenococcus;halophilus00000000000000001100000001500000002100000002903663400018000000014000000000
SP73Bacteria;Actinobacteria;Actinobacteria;Actinomycetales;Actinomycetaceae;Actinomyces;sp._oral_taxon_1720177035021112103442250017192150113496121101312552808918152464434021189009500321282100106259781117131581109114614851739173156
SP76Bacteria;Firmicutes;Negativicutes;Selenomonadales;Veillonellaceae;Selenomonas;sp._oral_taxon_1361833362752271422413235109433232011903534917432943811741712617112482310371284287481833425298354486408320013964493412579910063266921261621839808631262919725914351104366871161139819637673689102908576
SP77Bacteria;Firmicutes;Negativicutes;Selenomonadales;Veillonellaceae;Selenomonas;sputigena56464304904062484060500570352911427145043414874332692441564191512314782041507069105831430181400250613300822000112
SP78Bacteria;Bacteroidetes;Bacteroidia;Bacteroidales;Prevotellaceae;Prevotella;shahii030062000001641214728744543350285444721101716460929381827255031074007000118018643064741225131830033302725
SP8Bacteria;Firmicutes;Clostridia;Clostridiales;Lachnospiraceae_[XIV];Lachnoanaerobaculum;umeaense00000000010012310184433141311751500116845701003524739551404316814132019040004000237016954622311918433810027192411
SP80Bacteria;Proteobacteria;Betaproteobacteria;Burkholderiales;Burkholderiaceae;Lautropia;mirabilis76811638385254839889319140141212202116062214030823223019016162112913158972249513136193737390067101271116150121640324631
SP82Bacteria;Fusobacteria;Fusobacteriia;Fusobacteriales;Leptotrichiaceae;Leptotrichia;sp._oral_taxon_4170000500900000006000400040900411000400002300000005000600000000000006775339285
SP83Bacteria;Bacteroidetes;Bacteroidia;Bacteroidales;Prevotellaceae;Prevotella;oris00002550070080992331019019865240101412196212229028239524012107019500209502060170054723100100050813
SP89Bacteria;Firmicutes;Bacilli;Bacillales;Gemellaceae;Gemella;haemolysans0481312143071450151212251038778632046172713540122956023151448703700200504153051505705000039534628
SP9Bacteria;Firmicutes;Clostridia;Clostridiales;Peptostreptococcaceae_[XI];Peptostreptococcaceae_[XI][G-1];[Eubacterium]_sulci00207161404006133292131307291769013945077553345168101198648174281191421143341484000000032502018558123102212563341007137561
SP90Bacteria;Firmicutes;Clostridia;Clostridiales;Lachnospiraceae_[XIV];Lachnoanaerobaculum;orale0070653000074846754281332057315501144413615292319212704506557153139000000000002910138162473363019200044113
SP93Bacteria;Firmicutes;Clostridia;Clostridiales;Lachnospiraceae_[XIV];Oribacterium;asaccharolyticum85319789172541119171862101204138694070151123531064681252060759576490100413900020710100741767057110030423624
SP95Bacteria;Firmicutes;Clostridia;Clostridiales;Peptostreptococcaceae_[XI];Mogibacterium;diversum52491453828410283919689827632534423929722605915371408187016555291528526605980136723703107197812435431132561211163227019161732271946713740923182264110248571374119779065330325873158142
SP96Bacteria;Firmicutes;Clostridia;Clostridiales;Ruminococcaceae;Ruminococcaceae_[G-2];sp._oral_taxon_085041566147610600013000403140413717328365322606014301144703012008000021100351111610006323700472211
SP97Bacteria;Bacteroidetes;Bacteroidia;Bacteroidales;Prevotellaceae;Prevotella;nigrescens0000010100000000405000105730008007957000005876200000010763000000113390060785235218701442152571518
SP98Bacteria;Fusobacteria;Fusobacteriia;Fusobacteriales;Fusobacteriaceae;Fusobacterium;nucleatum_subsp._polymorphum00000000000130230009030032140300433240029607017040000000000029150481510342048000000
SP99Bacteria;Firmicutes;Clostridia;Clostridiales;Lachnospiraceae_[XIV];Stomatobaculum;longum03223343191113331811239321327103461001237536672629223327846128331011772820741891571038448144636055232915213418259983175354787633726633715991573854112816342823
SPN102Bacteria;Firmicutes;Bacilli;Lactobacillales;Streptococcaceae;Streptococcus;danieliae_nov_98.941%555764745176523053655742587050174747511541494357421747444848419427503263290827032788289722282514269832302834249826122741210723693576438037123634361939293605341615011861160814761541169012961323184621531751158017591699155615482419279624132302227323981863215916311276
SPN108Plantae;Angiosperms;Magnoliids;Laurales;Calycanthaceae;Calycanthus;floridus_Oral_Taxon_D07_nov_97.712%0000414000000033700000000000000000000000000000000000000000000000000000
SPN113Bacteria;Actinobacteria;Actinobacteria;Micrococcales;Promicromonosporaceae;Promicromonospora;aerolata_nov_90.851%000000000000000000002100000000000000020000000016100000000000000012909272500
SPN119Bacteria;Firmicutes;Bacilli;Lactobacillales;Aerococcaceae;Abiotrophia;defectiva_nov_94.455%0200150141029122902716239351926284604313517118160171178230320483203221123351037300330000132876
SPN128Bacteria;Bacteroidetes;Bacteroidia;Bacteroidales;Porphyromonadaceae;Parabacteroides;distasonis_nov_80.240%5739613744373631382935395435322700000000000360050400000000200000091309730470730001010
SPN136Bacteria;Bacteroidetes;Bacteroidia;Bacteroidales;Prevotellaceae;Prevotella;shahii_nov_96.545%00000000000342619143115222400921200000090030000000160000000001900142224633059487600123900
SPN14Bacteria;Firmicutes;Bacilli;Lactobacillales;Streptococcaceae;Streptococcus;danieliae_nov_93.220%4221114236121537121511521501623385551535861244190911100120120400040006000001615131714101514371823141428152600
SPN145Bacteria;Firmicutes;Bacilli;Lactobacillales;Streptococcaceae;Streptococcus;danieliae_nov_96.624%251081604821602812121053613342316212016261721000000000889800077087050005000051290861100521
SPN156Bacteria;Proteobacteria;Gammaproteobacteria;Pseudomonadales;Moraxellaceae;Acinetobacter;schindleri_nov_98.737%00000000000000000000000000000063000000000000000030000000000000005000
SPN163Bacteria;Actinobacteria;Actinobacteria;Actinomycetales;Actinomycetaceae;Actinomyces;sp._oral_taxon_180_nov_97.938%0000649000000091337000000083050000000155230000000000000000060600000100264184
SPN176Bacteria;Proteobacteria;Betaproteobacteria;Nitrosomonadales;Nitrosomonadaceae;Nitrosomonas;marina_nov_84.431%00000000000332324000025460013000037473300130000004000000000000684534060325724000000
SPN188Bacteria;Bacteroidetes;Bacteroidia;Bacteroidales;Prevotellaceae;Prevotella;melaninogenica_nov_96.755%4763584759478809057142122012442071892261971001551422418923723011816570232968523629011515084218815411105598366759832356916227177311369306339851266737822101897372
SPN199Bacteria;Bacteroidetes;Bacteroidia;Bacteroidales;Prevotellaceae;Prevotella;melaninogenica_nov_95.740%0713342013151825900000850080600139000000848601000000241200000000002000001221155345
SPN208Bacteria;Bacteroidetes;Bacteroidia;Bacteroidales;Prevotellaceae;Prevotella;sp._oral_taxon_396_nov_93.927%03360202808014313011913463212590133092103660238348100014278201334405604095102001406142431211076116802066966044
SPN21Bacteria;Bacteroidetes;Bacteroidia;Bacteroidales;Prevotellaceae;Prevotella;shahii_nov_87.903%1011331281321561421191057910886811291311097400000000202829242022202000353000118044555152022111415121761284984114429
SPN211Bacteria;Bacteroidetes;Bacteroidia;Bacteroidales;Prevotellaceae;Prevotella;sp._oral_taxon_306_nov_97.967%042264300060375052495001651105370002252021010000210004334805011920661100004900313100
SPN219Bacteria;Proteobacteria;Epsilonproteobacteria;Campylobacterales;Campylobacteraceae;Campylobacter;concisus_nov_97.840%02682377199109110350496477471616212911309773107142511103116127029567613112494089001030006250232824000251125000000
SPN22Bacteria;Firmicutes;Negativicutes;Selenomonadales;Veillonellaceae;Selenomonas;sp._oral_taxon_138_nov_92.368%00110533642000000028495700600030475362018180002055286220038017203030412900000232102436241718000000
SPN222Bacteria;Firmicutes;Negativicutes;Selenomonadales;Veillonellaceae;Selenomonas;sp._oral_taxon_478_nov_94.932%0000197103920000000136210000000319190000000187200000000239100000000000000000000
SPN234Bacteria;Firmicutes;Bacilli;Lactobacillales;Carnobacteriaceae;Granulicatella;adiacens_nov_96.200%005002032160272517104646442105231702091911013141815041101003203001400182924021441514004110
SPN245Bacteria;Bacteroidetes;Bacteroidetes_[C-1];Bacteroidetes_[O-1];Bacteroidetes_[F-1];Bacteroidetes_[G-7];sp._oral_taxon_911_nov_86.774%132917303540432125149025252918000030000466000000000000000000000600106050606554026
SPN296Bacteria;Firmicutes;Negativicutes;Selenomonadales;Veillonellaceae;Veillonella;atypica_nov_94.336%0464030118981157310472029444318218026835553612641081081282101147291819131075616815014563098077725321016617661913713899269145111146706148008400
SPN323Bacteria;Firmicutes;Erysipelotrichia;Erysipelotrichales;Erysipelotrichaceae;Solobacterium;moorei_nov_94.320%0000000137006885624242426479640861332452492726502500120646243661902300000000032057152864948457460590022234456
SPN38Bacteria;Bacteroidetes;Bacteroidia;Bacteroidales;Prevotellaceae;Prevotella;pallens_nov_95.538%0015136395751617000000015000000030022000001401856000000001520160000000000000005090208195
SPN393Bacteria;Firmicutes;Bacilli;Bacillales;Bacillaceae;Anoxybacillus;flavithermus_nov_97.800%00000000000000001800000001800000001700000003685640220220000000014000000000
SPN406Bacteria;Firmicutes;Bacilli;Lactobacillales;Streptococcaceae;Streptococcus;parasanguinis_II_nov_97.988%225772500031849754235433221348812938412694700745173049424003018048062239900046100530201941001142201857800
SPN47Bacteria;Proteobacteria;Betaproteobacteria;Burkholderiales;NA;Tepidimonas;taiwanensis_nov_100.000%00000000000000000000000000000093800000009000000040000000600000006000
SPN497Bacteria;Firmicutes;Bacilli;Bacillales;Gemellaceae;Gemella;sanguinis_nov_94.622%051104112171351565006910178452045174168125087831302330157063760298982181911460680188005815282306913367231016628360001611908168
SPN5Bacteria;Bacteroidetes;Bacteroidia;Bacteroidales;Prevotellaceae;Prevotella;nanceiensis_nov_96.933%00016000162000102711230141437576804049266915311924004236122101802200000000000471643240153811320010000
SPN501Bacteria;Bacteroidetes;Bacteroidia;Bacteroidales;Prevotellaceae;Prevotella;salivae_nov_96.538%022163522121302146601406287300403352743136419037458802590250101022115381204538902277205622058591071
SPN55Bacteria;Firmicutes;Negativicutes;Selenomonadales;Veillonellaceae;Veillonella;parvula_group_nov_95.303%01710405169601515551091413180394757720326292742038311214142501901171125723138408171774961251016211410
SPN595Bacteria;Bacteroidetes;Bacteroidia;Bacteroidales;Prevotellaceae;Prevotella;melaninogenica_nov_96.573%0900300000013811111323230256714807344192221002700095258704104100003000000262661814126863440079000
SPN600Bacteria;Bacteroidetes;Bacteroidia;Bacteroidales;Prevotellaceae;Alloprevotella;sp._oral_taxon_473_nov_96.552%013000230150019714719655686913412313209979110121216457653001601348151061037080035200206355531213117371650054622221
SPN703Bacteria;Firmicutes;Clostridia;Clostridiales;Peptoniphilaceae;Parvimonas;micra_nov_97.071%00000480300801446437870501710551471505622590013403412960129307000000020000720373228017100011131822
SPN709Bacteria;Firmicutes;Clostridia;Clostridiales;Peptostreptococcaceae_[XI];Peptostreptococcaceae_[XI][G-2];sp._oral_taxon_091_nov_97.095%000000000000001313217763745391814781526258133241194621117541718058003000003140717118597149680001000
SPN76Bacteria;Firmicutes;Bacilli;Lactobacillales;Streptococcaceae;Streptococcus;australis_nov_97.992%00202642770000000129140000000440110000000171214000000058324100000005240000000215192
SPN793Bacteria;Firmicutes;Bacilli;Lactobacillales;Streptococcaceae;Streptococcus;danieliae_nov_96.822%71222329080286157231716050165438545243404831446771211071412211515161181619181320151981211171514950616171016122280828
SPN802Bacteria;Bacteroidetes;Bacteroidia;Bacteroidales;Prevotellaceae;Prevotella;histicola_nov_97.769%2832851843178101121297342252123603503778491913283174751129727533515573142120248110151240546590132692901212115113978813116525536052822228422123318028513480156427353358181614413010176
SPN803Bacteria;Bacteroidetes;Bacteroidia;Bacteroidales;Prevotellaceae;Prevotella;melaninogenica_nov_97.363%0782000020203012673130781216634403348396562191500946141051501705600042000232620270683408500243564
SPN85Bacteria;Proteobacteria;Epsilonproteobacteria;Campylobacterales;Campylobacteraceae;Campylobacter;showae_nov_96.774%04913271060200146741538346453814120579753654453167978701187336661153023745957411160587862406410013070310145248125000162982430106000
SPN86Bacteria;Bacteroidetes;Bacteroidia;Bacteroidales;Prevotellaceae;Alloprevotella;rava_nov_95.161%000002300000000842956000000076261800000002430170000000030000000013111411600000002425
SPN96Bacteria;Firmicutes;Negativicutes;Selenomonadales;Veillonellaceae;Selenomonas;sp._oral_taxon_149_nov_97.638%00008711365000000039405500000001483210000000572651000000033192700000000521000000000
SPP1Bacteria;Bacteroidetes;Bacteroidia;Bacteroidales;Prevotellaceae;Prevotella;multispecies_spp1_2244630241592227122526642269720146394647492611210131343547423311413012540534737161750769949552118524246717584771227530363532466
SPP11Bacteria;Firmicutes;Negativicutes;Selenomonadales;Veillonellaceae;Selenomonas;multispecies_spp11_200001721120000000272852000000030651800000008022400000000301000000081419000000000
SPP12Bacteria;Firmicutes;Clostridia;Clostridiales;Lachnospiraceae_[XIV];Oribacterium;multispecies_spp12_20212211000231900009110260010000022582300000110153235000000000000000801868310011000060
SPP13Bacteria;Firmicutes;Bacilli;Lactobacillales;Streptococcaceae;Streptococcus;multispecies_spp13_20125934334346032670342124867831203604736397193230494602826012845350210001410472121100003060000036334147
SPP4Bacteria;Firmicutes;Negativicutes;Selenomonadales;Veillonellaceae;Veillonella;multispecies_spp4_2206798309421131241214152994992015820315186611236357815181481185765855221355686117701735141030811574722631225611558673693163792025201300714134017878522751162158810209338389281
SPP9Bacteria;Firmicutes;Bacilli;Lactobacillales;Streptococcaceae;Streptococcus;multispecies_spp9_2258614652887874409339424736585138686446112804130887320881588505051714288430122549944816486920905400190623672598341820219522543217435492855265512012142097263102741099165723023232347298303200537079199991252289712268412332147611471075103039938125571259723451913
SPPN7Bacteria;Firmicutes;Bacilli;Lactobacillales;Streptococcaceae;Streptococcus;multispecies_sppn7_2_nov_83.968%002250061394000130000620000000001900300000000165100009000382317020537664301551924344
 
 
Download OTU Tables at Different Taxonomy Levels
PhylumCount*: Relative**: CLR***:
ClassCount*: Relative**: CLR***:
OrderCount*: Relative**: CLR***:
FamilyCount*: Relative**: CLR***:
GenusCount*: Relative**: CLR***:
SpeciesCount*: Relative**: CLR***:
* Read count
** Relative abundance (count/total sample count)
*** Centered log ratio transformed abundance
;
 
The species listed in the table has full taxonomy and a dynamically assigned species ID specific to this report. When some reads match with the reference sequences of more than one species equally (i.e., same percent identiy and alignmnet coverage), they can't be assigned to a particular species. Instead, they are assigned to multiple species with the species notaton "s__multispecies_spp2_2". In this notation, spp2 is the dynamic ID assigned to these reads that hit multiple sequences and the "_2" at the end of the notation means there are two species in the spp2.

You can look up which species are included in the multi-species assignment, in this table below:
 
 
 
 
Another type of notation is "s__multispecies_sppn2_2", in which the "n" in the sppn2 means it's a potential novel species because all the reads in this species have < 98% idenity to any of the reference sequences. They were grouped together based on de novo OTU clustering at 98% identity cutoff. And then a representative sequence was chosed to BLASTN search against the reference database to find the closest match (but will still be < 98%). This representative sequence also matched equally to more than one species, hence the "spp" was given in the label.
 
 

Taxonomy Bar Plots for All Samples

 
 

Taxonomy Bar Plots for Individual Comparison Groups

 
 
Comparison No.Comparison NameFamiliesGeneraSpecies
Comparison 1Healthy_saliva vs Caries_saliva vs Healthy_saliva_plus_S_mutans vs Negative_control vs Mock_community vs Healthy_inoculum vs Caries_inoculumPDFSVGPDFSVGPDFSVG
Comparison 2Healthy_saliva vs Caries_saliva vs Healthy_saliva_plus_S_mutansPDFSVGPDFSVGPDFSVG
Comparison 3Mock_community vs Healthy_inoculum vs Caries_inoculumPDFSVGPDFSVGPDFSVG
Comparison 424h vs 48h_no_medium_change vs 48h_medium_change vs Mock_community vs Healthy_inoculum vs Caries_inoculumPDFSVGPDFSVGPDFSVG
Comparison 5Healthy_saliva vs Caries_saliva vs Healthy_saliva_plus_S_mutans vs Negative_control vs Mock_community vs Healthy_inoculum vs Caries_inoculumPDFSVGPDFSVGPDFSVG
Comparison 6Saliva vs SHI vs Mock_community vs Healthy_inoculum vs Caries_inoculumPDFSVGPDFSVGPDFSVG
 
 

VIII. Analysis - Alpha Diversity

 

In ecology, alpha diversity (α-diversity) is the mean species diversity in sites or habitats at a local scale. The term was introduced by R. H. Whittaker[1][2] together with the terms beta diversity (β-diversity) and gamma diversity (γ-diversity). Whittaker's idea was that the total species diversity in a landscape (gamma diversity) is determined by two different things, the mean species diversity in sites or habitats at a more local scale (alpha diversity) and the differentiation among those habitats (beta diversity).


References:
Whittaker, R. H. (1960) Vegetation of the Siskiyou Mountains, Oregon and California. Ecological Monographs, 30, 279–338. doi:10.2307/1943563
Whittaker, R. H. (1972). Evolution and Measurement of Species Diversity. Taxon, 21, 213-251. doi:10.2307/1218190

 

Alpha Diversity Analysis by Rarefaction

Diversity measures are affected by the sampling depth. Rarefaction is a technique to assess species richness from the results of sampling. Rarefaction allows the calculation of species richness for a given number of individual samples, based on the construction of so-called rarefaction curves. This curve is a plot of the number of species as a function of the number of samples. Rarefaction curves generally grow rapidly at first, as the most common species are found, but the curves plateau as only the rarest species remain to be sampled.


References:
Willis AD. Rarefaction, Alpha Diversity, and Statistics. Front Microbiol. 2019 Oct 23;10:2407. doi: 10.3389/fmicb.2019.02407. PMID: 31708888; PMCID: PMC6819366.

 
 
 

Boxplot of Alpha-diversity Indices

The two main factors taken into account when measuring diversity are richness and evenness. Richness is a measure of the number of different kinds of organisms present in a particular area. Evenness compares the similarity of the population size of each of the species present. There are many different ways to measure the richness and evenness. These measurements are called "estimators" or "indices". Below is a diversity of 3 commonly used indices showing the values for all the samples (dots) and in groups (boxes).

 
Alpha Diversity Box Plots for All Groups
 
 
 
 
 
 
 
Alpha Diversity Box Plots for Individual Comparisons
 
Comparison 1Healthy_saliva vs Caries_saliva vs Healthy_saliva_plus_S_mutans vs Negative_control vs Mock_community vs Healthy_inoculum vs Caries_inoculumView in PDFView in SVG
Comparison 2Healthy_saliva vs Caries_saliva vs Healthy_saliva_plus_S_mutansView in PDFView in SVG
Comparison 3Mock_community vs Healthy_inoculum vs Caries_inoculumView in PDFView in SVG
Comparison 424h vs 48h_no_medium_change vs 48h_medium_change vs Mock_community vs Healthy_inoculum vs Caries_inoculumView in PDFView in SVG
Comparison 5Healthy_saliva vs Caries_saliva vs Healthy_saliva_plus_S_mutans vs Negative_control vs Mock_community vs Healthy_inoculum vs Caries_inoculumView in PDFView in SVG
Comparison 6Saliva vs SHI vs Mock_community vs Healthy_inoculum vs Caries_inoculumView in PDFView in SVG
 
 
 

Group Significance of Alpha-diversity Indices

To test whether the alpha diversity among different comparison groups are different statistically, we use the Kruskal Wallis H test provided the "alpha-group-significance" fucntion in the QIIME 2 "diversity" package. Kruskal Wallis H test is the non-parametric alternative to the One Way ANOVA. Non-parametric means that the test doesn’t assume your data comes from a particular distribution. The H test is used when the assumptions for ANOVA aren’t met (like the assumption of normality). It is sometimes called the one-way ANOVA on ranks, as the ranks of the data values are used in the test rather than the actual data points. The H test determines whether the medians of two or more groups are different.

Below are the Kruskal Wallis H test results for each comparison based on three different alpha diversity measures: 1) Observed species (features), 2) Shannon index, and 3) Simpson index.

 
 
Comparison 1.Healthy_saliva vs Caries_saliva vs Healthy_saliva_plus_S_mutans vs Negative_control vs Mock_community vs Healthy_inoculum vs Caries_inoculumObserved FeaturesShannon IndexSimpson Index
Comparison 2.Healthy_saliva vs Caries_saliva vs Healthy_saliva_plus_S_mutansObserved FeaturesShannon IndexSimpson Index
Comparison 3.Mock_community vs Healthy_inoculum vs Caries_inoculumObserved FeaturesShannon IndexSimpson Index
Comparison 4.24h vs 48h_no_medium_change vs 48h_medium_change vs Mock_community vs Healthy_inoculum vs Caries_inoculumObserved FeaturesShannon IndexSimpson Index
Comparison 5.Healthy_saliva vs Caries_saliva vs Healthy_saliva_plus_S_mutans vs Negative_control vs Mock_community vs Healthy_inoculum vs Caries_inoculumObserved FeaturesShannon IndexSimpson Index
Comparison 6.Saliva vs SHI vs Mock_community vs Healthy_inoculum vs Caries_inoculumObserved FeaturesShannon IndexSimpson Index
 
 

IX. Analysis - Beta Diversity

 

NMDS and PCoA Plots

Beta diversity compares the similarity (or dissimilarity) of microbial profiles between different groups of samples. There are many different similarity/dissimilarity metrics. In general, they can be quantitative (using sequence abundance, e.g., Bray-Curtis or weighted UniFrac) or binary (considering only presence-absence of sequences, e.g., binary Jaccard or unweighted UniFrac). They can be even based on phylogeny (e.g., UniFrac metrics) or not (non-UniFrac metrics, such as Bray-Curtis, etc.).

For microbiome studies, species profiles of samples can be compared with the Bray-Curtis dissimilarity, which is based on the count data type. The pair-wise Bray-Curtis dissimilarity matrix of all samples can then be subject to either multi-dimensional scaling (MDS, also known as PCoA) or non-metric MDS (NMDS).

MDS/PCoA is a scaling or ordination method that starts with a matrix of similarities or dissimilarities between a set of samples and aims to produce a low-dimensional graphical plot of the data in such a way that distances between points in the plot are close to original dissimilarities.

NMDS is similar to MDS, however it does not use the dissimilarities data, instead it converts them into the ranks and use these ranks in the calculation.

In our beta diversity analysis, Bray-Curtis dissimilarity matrix was first calculated and then plotted by the PCoA and NMDS separately. Below are beta diveristy results for all groups together:

 
 
NMDS and PCoA Plots for All Groups
 
 
 
 
 

The above PCoA and NMDS plots are based on count data. The count data can also be transformed into centered log ratio (CLR) for each species. The CLR data is no longer count data and cannot be used in Bray-Curtis dissimilarity calculation. Instead CLR can be compared with Euclidean distances. When CLR data are compared by Euclidean distance, the distance is also called Aitchison distance.

Below are the NMDS and PCoA plots of the Aitchison distances of the samples:

 
 
 
 
 
 
 
NMDS and PCoA Plots for Individual Comparisons
 
 
Comparison No.Comparison NameNMDAPCoA
Bray-CurtisCLR EuclideanBray-CurtisCLR Euclidean
Comparison 1Healthy_saliva vs Caries_saliva vs Healthy_saliva_plus_S_mutans vs Negative_control vs Mock_community vs Healthy_inoculum vs Caries_inoculumPDFSVGPDFSVGPDFSVGPDFSVG
Comparison 2Healthy_saliva vs Caries_saliva vs Healthy_saliva_plus_S_mutansPDFSVGPDFSVGPDFSVGPDFSVG
Comparison 3Mock_community vs Healthy_inoculum vs Caries_inoculumPDFSVGPDFSVGPDFSVGPDFSVG
Comparison 424h vs 48h_no_medium_change vs 48h_medium_change vs Mock_community vs Healthy_inoculum vs Caries_inoculumPDFSVGPDFSVGPDFSVGPDFSVG
Comparison 5Healthy_saliva vs Caries_saliva vs Healthy_saliva_plus_S_mutans vs Negative_control vs Mock_community vs Healthy_inoculum vs Caries_inoculumPDFSVGPDFSVGPDFSVGPDFSVG
Comparison 6Saliva vs SHI vs Mock_community vs Healthy_inoculum vs Caries_inoculumPDFSVGPDFSVGPDFSVGPDFSVG
 
 
 
 
 

Interactive 3D PCoA Plots - Bray-Curtis Dissimilarity

 
 
 

Interactive 3D PCoA Plots - Euclidean Distance

 
 
 

Interactive 3D PCoA Plots - Correlation Coefficients

 
 
 

Group Significance of Beta-diversity Indices

To test whether the between-group dissimilarities are significantly greater than the within-group dissimilarities, the "beta-group-significance" function provided in the QIIME 2 "diversity" package was used with PERMANOVA (permutational multivariate analysis of variance) as the group significant testing method.

Three beta diversity matrics were used: 1) Bray–Curtis dissimilarity 2) Correlation coefficient matrix , and 3) Aitchison distance (Euclidean distance between clr-transformed compositions).

 
 
Comparison 1.Healthy_saliva vs Caries_saliva vs Healthy_saliva_plus_S_mutans vs Negative_control vs Mock_community vs Healthy_inoculum vs Caries_inoculumBray–CurtisCorrelationAitchison
Comparison 2.Healthy_saliva vs Caries_saliva vs Healthy_saliva_plus_S_mutansBray–CurtisCorrelationAitchison
Comparison 3.Mock_community vs Healthy_inoculum vs Caries_inoculumBray–CurtisCorrelationAitchison
Comparison 4.24h vs 48h_no_medium_change vs 48h_medium_change vs Mock_community vs Healthy_inoculum vs Caries_inoculumBray–CurtisCorrelationAitchison
Comparison 5.Healthy_saliva vs Caries_saliva vs Healthy_saliva_plus_S_mutans vs Negative_control vs Mock_community vs Healthy_inoculum vs Caries_inoculumBray–CurtisCorrelationAitchison
Comparison 6.Saliva vs SHI vs Mock_community vs Healthy_inoculum vs Caries_inoculumBray–CurtisCorrelationAitchison
 
 
 

X. Analysis - Differential Abundance

16S rRNA next generation sequencing (NGS) generates a fixed number of reads that reflect the proportion of different species in a sample, i.e., the relative abundance of species, instead of the absolute abundance. In Mathematics, measurements involving probabilities, proportions, percentages, and ppm can all be thought of as compositional data. This makes the microbiome read count data “compositional” (Gloor et al, 2017). In general, compositional data represent parts of a whole which only carry relative information (http://www.compositionaldata.com/).

The problem of microbiome data being compositional arises when comparing two groups of samples for identifying “differentially abundant” species. A species with the same absolute abundance between two conditions, its relative abundances in the two conditions (e.g., percent abundance) can become different if the relative abundance of other species change greatly. This problem can lead to incorrect conclusion in terms of differential abundance for microbial species in the samples.

When studying differential abundance (DA), the current better approach is to transform the read count data into log ratio data. The ratios are calculated between read counts of all species in a sample to a “reference” count (e.g., mean read count of the sample). The log ratio data allow the detection of DA species without being affected by percentage bias mentioned above

In this report, a compositional DA analysis tool “ANCOM” (analysis of composition of microbiomes) was used. ANCOM transforms the count data into log-ratios and thus is more suitable for comparing the composition of microbiomes in two or more populations. "ANCOM" generates a table of features with W-statistics and whether the null hypothesis is rejected. The “W” is the W-statistic, or number of features that a single feature is tested to be significantly different against. Hence the higher the "W" the more statistical sifgnificant that a feature/species is differentially abundant.


References:

Gloor GB, Macklaim JM, Pawlowsky-Glahn V, Egozcue JJ. Microbiome Datasets Are Compositional: And This Is Not Optional. Front Microbiol. 2017 Nov 15;8:2224. doi: 10.3389/fmicb.2017.02224. PMID: 29187837; PMCID: PMC5695134.

Mandal S, Van Treuren W, White RA, Eggesbø M, Knight R, Peddada SD. Analysis of composition of microbiomes: a novel method for studying microbial composition. Microb Ecol Health Dis. 2015 May 29;26:27663. doi: 10.3402/mehd.v26.27663. PMID: 26028277; PMCID: PMC4450248.

Lin H, Peddada SD. Analysis of compositions of microbiomes with bias correction. Nat Commun. 2020 Jul 14;11(1):3514. doi: 10.1038/s41467-020-17041-7. PMID: 32665548; PMCID: PMC7360769.

 
 

ANCOM Differential Abundance Analysis

 
ANCOM Results for Individual Comparisons
Comparison No.Comparison Name
Comparison 1.Healthy_saliva vs Caries_saliva vs Healthy_saliva_plus_S_mutans vs Negative_control vs Mock_community vs Healthy_inoculum vs Caries_inoculum
Comparison 2.Healthy_saliva vs Caries_saliva vs Healthy_saliva_plus_S_mutans
Comparison 3.Mock_community vs Healthy_inoculum vs Caries_inoculum
Comparison 4.24h vs 48h_no_medium_change vs 48h_medium_change vs Mock_community vs Healthy_inoculum vs Caries_inoculum
Comparison 5.Healthy_saliva vs Caries_saliva vs Healthy_saliva_plus_S_mutans vs Negative_control vs Mock_community vs Healthy_inoculum vs Caries_inoculum
Comparison 6.Saliva vs SHI vs Mock_community vs Healthy_inoculum vs Caries_inoculum
 
 

ANCOM-BC2 Differential Abundance Analysis

 

Starting with version V1.2, we include the results of ANCOM-BC (Analysis of Compositions of Microbiomes with Bias Correction) (Lin and Peddada 2020). ANCOM-BC is an updated version of "ANCOM" that:
(a) provides statistically valid test with appropriate p-values,
(b) provides confidence intervals for differential abundance of each taxon,
(c) controls the False Discovery Rate (FDR),
(d) maintains adequate power, and
(e) is computationally simple to implement.

The bias correction (BC) addresses a challenging problem of the bias introduced by differences in the sampling fractions across samples. This bias has been a major hurdle in performing DA analysis of microbiome data. ANCOM-BC estimates the unknown sampling fractions and corrects the bias induced by their differences among samples. The absolute abundance data are modeled using a linear regression framework.

Starting with version V1.43, ANCOM-BC2 is used instead of ANCOM-BC, So that multiple pairwise directional test can be performed (if there are more than two gorups in a comparison). When performing pairwise directional test, the mixed directional false discover rate (mdFDR) is taken into account. The mdFDR is the combination of false discovery rate due to multiple testing, multiple pairwise comparisons, and directional tests within each pairwise comparison. The mdFDR is adopted from (Guo, Sarkar, and Peddada 2010; Grandhi, Guo, and Peddada 2016). For more detail explanation and additional features of ANCOM-BC2 please see author's documentation.

References:

Lin H, Peddada SD. Analysis of compositions of microbiomes with bias correction. Nat Commun. 2020 Jul 14;11(1):3514. doi: 10.1038/s41467-020-17041-7. PMID: 32665548; PMCID: PMC7360769.

Guo W, Sarkar SK, Peddada SD. Controlling false discoveries in multidimensional directional decisions, with applications to gene expression data on ordered categories. Biometrics. 2010 Jun;66(2):485-92. doi: 10.1111/j.1541-0420.2009.01292.x. Epub 2009 Jul 23. PMID: 19645703; PMCID: PMC2895927.

Grandhi A, Guo W, Peddada SD. A multiple testing procedure for multi-dimensional pairwise comparisons with application to gene expression studies. BMC Bioinformatics. 2016 Feb 25;17:104. doi: 10.1186/s12859-016-0937-5. PMID: 26917217; PMCID: PMC4768411.

 
 
ANCOM-BC Results for Individual Comparisons
 
Comparison No.Comparison Name
Comparison 1.Healthy_saliva vs Caries_saliva vs Healthy_saliva_plus_S_mutans vs Negative_control vs Mock_community vs Healthy_inoculum vs Caries_inoculum
Comparison 2.Healthy_saliva vs Caries_saliva vs Healthy_saliva_plus_S_mutans
Comparison 3.Mock_community vs Healthy_inoculum vs Caries_inoculum
Comparison 4.24h vs 48h_no_medium_change vs 48h_medium_change vs Mock_community vs Healthy_inoculum vs Caries_inoculum
Comparison 5.Healthy_saliva vs Caries_saliva vs Healthy_saliva_plus_S_mutans vs Negative_control vs Mock_community vs Healthy_inoculum vs Caries_inoculum
Comparison 6.Saliva vs SHI vs Mock_community vs Healthy_inoculum vs Caries_inoculum
 
 
 

LEfSe - Linear Discriminant Analysis Effect Size

LEfSe (Linear Discriminant Analysis Effect Size) is an alternative method to find "organisms, genes, or pathways that consistently explain the differences between two or more microbial communities" (Segata et al., 2011). Specifically, LEfSe uses rank-based Kruskal-Wallis (KW) sum-rank test to detect features with significant differential (relative) abundance with respect to the class of interest. Since it is rank-based, instead of proportional based, the differential species identified among the comparison groups is less biased (than percent abundance based).

Reference:

Segata N, Izard J, Waldron L, Gevers D, Miropolsky L, Garrett WS, Huttenhower C. Metagenomic biomarker discovery and explanation. Genome Biol. 2011 Jun 24;12(6):R60. doi: 10.1186/gb-2011-12-6-r60. PMID: 21702898; PMCID: PMC3218848.

 
Healthy_saliva vs Caries_saliva vs Healthy_saliva_plus_S_mutans vs Negative_control vs Mock_community vs Healthy_inoculum vs Caries_inoculum
 
 
 
 
 
 
 
LEfSe Results for All Comparisons
 
Comparison No.Comparison Name
Comparison 1.Healthy_saliva vs Caries_saliva vs Healthy_saliva_plus_S_mutans vs Negative_control vs Mock_community vs Healthy_inoculum vs Caries_inoculum
Comparison 2.Healthy_saliva vs Caries_saliva vs Healthy_saliva_plus_S_mutans
Comparison 3.Mock_community vs Healthy_inoculum vs Caries_inoculum
Comparison 4.24h vs 48h_no_medium_change vs 48h_medium_change vs Mock_community vs Healthy_inoculum vs Caries_inoculum
Comparison 5.Healthy_saliva vs Caries_saliva vs Healthy_saliva_plus_S_mutans vs Negative_control vs Mock_community vs Healthy_inoculum vs Caries_inoculum
Comparison 6.Saliva vs SHI vs Mock_community vs Healthy_inoculum vs Caries_inoculum
 
 

XI. Analysis - Heatmap Profile

 

Species vs Sample Abundance Heatmap for All Samples

 
 
 

Heatmaps for Individual Comparisons

 
A) Two-way clustering - clustered on both columns (Samples) and rows (organism)
Comparison No.Comparison NameFamily LevelGenus LevelSpecies Level
Comparison 1Healthy_saliva vs Caries_saliva vs Healthy_saliva_plus_S_mutans vs Negative_control vs Mock_community vs Healthy_inoculum vs Caries_inoculumPDFSVGPDFSVGPDFSVG
Comparison 2Healthy_saliva vs Caries_saliva vs Healthy_saliva_plus_S_mutansPDFSVGPDFSVGPDFSVG
Comparison 3Mock_community vs Healthy_inoculum vs Caries_inoculumPDFSVGPDFSVGPDFSVG
Comparison 424h vs 48h_no_medium_change vs 48h_medium_change vs Mock_community vs Healthy_inoculum vs Caries_inoculumPDFSVGPDFSVGPDFSVG
Comparison 5Healthy_saliva vs Caries_saliva vs Healthy_saliva_plus_S_mutans vs Negative_control vs Mock_community vs Healthy_inoculum vs Caries_inoculumPDFSVGPDFSVGPDFSVG
Comparison 6Saliva vs SHI vs Mock_community vs Healthy_inoculum vs Caries_inoculumPDFSVGPDFSVGPDFSVG
 
 
B) One-way clustering - clustered on rows (organism) only
Comparison No.Comparison NameFamily LevelGenus LevelSpecies Level
Comparison 1Healthy_saliva vs Caries_saliva vs Healthy_saliva_plus_S_mutans vs Negative_control vs Mock_community vs Healthy_inoculum vs Caries_inoculumPDFSVGPDFSVGPDFSVG
Comparison 2Healthy_saliva vs Caries_saliva vs Healthy_saliva_plus_S_mutansPDFSVGPDFSVGPDFSVG
Comparison 3Mock_community vs Healthy_inoculum vs Caries_inoculumPDFSVGPDFSVGPDFSVG
Comparison 424h vs 48h_no_medium_change vs 48h_medium_change vs Mock_community vs Healthy_inoculum vs Caries_inoculumPDFSVGPDFSVGPDFSVG
Comparison 5Healthy_saliva vs Caries_saliva vs Healthy_saliva_plus_S_mutans vs Negative_control vs Mock_community vs Healthy_inoculum vs Caries_inoculumPDFSVGPDFSVGPDFSVG
Comparison 6Saliva vs SHI vs Mock_community vs Healthy_inoculum vs Caries_inoculumPDFSVGPDFSVGPDFSVG
 
 
C) No clustering
Comparison No.Comparison NameFamily LevelGenus LevelSpecies Level
Comparison 1Healthy_saliva vs Caries_saliva vs Healthy_saliva_plus_S_mutans vs Negative_control vs Mock_community vs Healthy_inoculum vs Caries_inoculumPDFSVGPDFSVGPDFSVG
Comparison 2Healthy_saliva vs Caries_saliva vs Healthy_saliva_plus_S_mutansPDFSVGPDFSVGPDFSVG
Comparison 3Mock_community vs Healthy_inoculum vs Caries_inoculumPDFSVGPDFSVGPDFSVG
Comparison 424h vs 48h_no_medium_change vs 48h_medium_change vs Mock_community vs Healthy_inoculum vs Caries_inoculumPDFSVGPDFSVGPDFSVG
Comparison 5Healthy_saliva vs Caries_saliva vs Healthy_saliva_plus_S_mutans vs Negative_control vs Mock_community vs Healthy_inoculum vs Caries_inoculumPDFSVGPDFSVGPDFSVG
Comparison 6Saliva vs SHI vs Mock_community vs Healthy_inoculum vs Caries_inoculumPDFSVGPDFSVGPDFSVG
 
 

XII. Analysis - Network Association

To analyze the co-occurrence or co-exclusion between microbial species among different samples, network correlation analysis tools are usually used for this purpose. However, microbiome count data are compositional. If count data are normalized to the total number of counts in the sample, the data become not independent and traditional statistical metrics (e.g., correlation) for the detection of specie-species relationships can lead to spurious results. In addition, sequencing-based studies typically measure hundreds of OTUs (species) on few samples; thus, inference of OTU-OTU association networks is severely under-powered. Here we use SPIEC-EASI (SParse InversE Covariance Estimation for Ecological Association Inference), a statistical method for the inference of microbial ecological networks from amplicon sequencing datasets that addresses both of these issues (Kurtz et al., 2015). SPIEC-EASI combines data transformations developed for compositional data analysis with a graphical model inference framework that assumes the underlying ecological association network is sparse. SPIEC-EASI provides two algorithms for network inferencing – 1) Meinshausen-Bühlmann's neighborhood selection (MB method) and inverse covariance selection (GLASSO method, i.e., graphical least absolute shrinkage and selection operator). This is fundamentally distinct from SparCC, which essentially estimate pairwise correlations. In addition to these two methods, we provide the results of a third method - SparCC (Sparse Correlations for Compositional Data)(Friedman & Alm 2012), which is also a method for inferring correlations from compositional data. SparCC estimates the linear Pearson correlations between the log-transformed components.


References:

Kurtz ZD, Müller CL, Miraldi ER, Littman DR, Blaser MJ, Bonneau RA. Sparse and compositionally robust inference of microbial ecological networks. PLoS Comput Biol. 2015 May 7;11(5):e1004226. doi: 10.1371/journal.pcbi.1004226. PMID: 25950956; PMCID: PMC4423992.

Friedman J, Alm EJ. Inferring correlation networks from genomic survey data. PLoS Comput Biol. 2012;8(9):e1002687. doi: 10.1371/journal.pcbi.1002687. Epub 2012 Sep 20. PMID: 23028285; PMCID: PMC3447976.

 

SPIEC-EASI Network Inference by Neighborhood Selection (MB Method)

 

 

 

Association Network Inference by SparCC

 

 

 
 

XIII. Disclaimer

The results of this analysis are for research purpose only. They are not intended to diagnose, treat, cure, or prevent any disease. Forsyth and FOMC are not responsible for use of information provided in this report outside the research area.

 

Copyright FOMC 2024